[Die Thrombozyten- und Wachstumsfaktorenkonzentration im Platelet-rich Plasma von Goettinger Minipigs]
Pascal Jungbluth 1Jan-Peter Grassmann 1
Simon Thelen 1
Michael Wild 2
Martin Sager 3
Joachim Windolf 1
Mohssen Hakimi 4
1 Heinrich Heine University Hospital Düsseldorf, Department of Trauma and Handsurgery, Düsseldorf, Germany
2 Klinikum Darmstadt Department of Trauma, Orthopedics and Handsurgery, Darmstadt, Germany
3 Heinrich Heine University Hospital Duesseldorf Animal Research Institute, Düsseldorf, Germany
4 Vivantes Klinikum Am Urban, Department of Trauma, Orthopedics and Handsurgery, Berlin, Germany
Zusammenfassung
Trotz ihrer entscheidenden Rolle bei der Frakturheilung ist bislang bei Minipigs wenig über die Konzentration von Wachstumsfaktoren im Plasma bekannt.
Aufgrund dessen führten wir Analysen zu den Konzentrationen von Thrombozyten und selektierter Wachstumsfaktoren im Plasma und Platelet-rich Plasma (PRP) von 16 Goettinger Minipigs durch.
Die Thrombozytenkonzentration im PRP konnte im Vergleich zum Nativblutplasma signifikant gesteigert werden. Darüber hinaus konnte eine signifikante Steigerung der Konzentrationen aller getesteten Wachstumsfaktoren im PRP im Vergleich zum korrespondierenden Plasma bzw. Serum beobachtet werden.
Fünf der untersuchten Plasmaproben beinhalteten nachweisbare Konzentrationen von Bone Morphogenic Protein 2 (BMP-2), während elf der Plasma- bzw. Serumproben sehr niedrige Konzentrationen von Vascular Endothelial Growth Factor (VEGF) und Platelet-derived Growth Factor (PDGF-bb) aufwiesen. Andererseits konnten unterschiedliche Konzentrationen von Bone Morphogenic Protein 7 (BMP-7) und Transforming Growth Factor β1 (TGF-β1) in allen Plasmaproben nachgewiesen werden. Im Gegensatz dazu demonstrierten alle PRP-Proben signifikant gesteigerte Wachstumsfaktorenkonzentrationen.
Die Konzentrationen von BMP-2, BMP-7, TGF-β1, VEGF und PDGF-bb waren 17,6, 1,5, 7,1, 7,2 und 103,3-fach erhöht im Vergleich zu den nicht-angereicherten Proben.
Des Weiteren wurden signifikant positive Korrelationen zwischen Thrombozytenzahl und den Konzentrationen von BMP-2 (r=0.62, p<0.001), TGF-β1 (r=0.85, p<0.001), VEGF (r=0.46, p<0.01) und PDGF-bb (r=0.9, p<0.001) nachgewiesen.
Unsere Ergebnisse belegen das Vorhandensein von Wachstumsfaktoren im PRP von Minipigs, welches somit als Quelle für autologe Wachstumsfaktoren dienen könnte.
Schlüsselwörter
Wachstumsfaktoren, Minipig, Platelet-rich Plasma
Introduction
Platelet-rich plasma (PRP) has gained importance in the treatment of various osteopathies in human and animals [1], [2], [3], since the α-granules of the platelets are rich in growth factors such as the vascular endothelial growth factor (VEGF), platelet-derived growth factor (PDGF) and transforming growth factor β (TGF-β), which play a key role in tissue healing [4], [5].
In vivo studies have shown that growth factors are present during the healing of osseous defects and fractures [6], [7], [8], [9]. However, the role of growth factors, their localization and their specific characteristics are discussed controversially [1], [10]. Some of the bone morphogenetic proteins (BMPs), which belong to the superfamily of the TGF-β, have the potential to induce formation of new bone [11], [12]. In vivo studies have also revealed the influence of TGF-β on the healing of fractures [13]. Vascular endothelial growth factor (VEGF) is stored and secreted by endothelium and osteoblasts and plays a major role in angiogenesis during repair of osseous defects [14], [15], whereas platelet derived growth factor (PDGF) is released from the platelets during the formation of haematoma and stimulates the migration of osteoblasts and mesenchymal progenitor cells [16], [17].
The knowledge about the existing growth factors in platelet-rich plasma (PRP) and their osteoinductive characteristics make the use of PRP produced from patient’s own blood in a point of care device a possible successful method to provide a sustained release of growth factors and promote bone healing.
Despite the increased interest in the mini-pig in experimental medicine [18], [19], [20] and especially in orthopedics [21], [22] little is known about the presence and concentration of growth factors for this species. The aim of the present investigation was to study the concentration of platelets and of selected growth factors in PRP preparations of minipigs in order to characterize it as a possible autologous source of growth factors. Our findings identified an increase in the concentration of the growth factors in PRP for this animal model.
Materials and methods
Animals
Eighteen to thirty months old, 25–35 kg Goettinger minipigs (n=16) were used in this study. The use of the animals was approved by the local Animal Care and Use Committee of the Heinrich-Heine-University and local government Duesseldorf, Germany (protocol number: 50.05-230-78/06). A priori power analysis was performed. This resulted in a sample size of 16 for a power of 80% with a p value of 0.05 determining significance.
Preparation of platelet-rich plasma
PRP was prepared from whole blood collected under anaesthesia from the jugular vein of each mini-pig. Anaesthesia was performed using intravenous 0.5 g thiopental (Inresa Arzneimittel GmbH, Freiburg, Germany) after intramuscular sedation with 0.5 mg/kg atropine (Atropinsulfat, B Braun, Melsungen, Germany), 5 mg/kg azaperon (Stresnil, Janssen-Cilag GmbH Neuss, Germany) and 10 mg/kg ketamin (Ketavet, Pharmacia GmbH, Karlsruhe, Germany). PRP was prepared using the centrifugation based “Gravitional-Platelet-Systems GPS® II Platelet Separation System” (Biomet Biologics, Warsaw, IN, USA). Two syringes were filled with 6 ml of citrate anticoagulant (Anticoagulant Citrate Dextrose Solution, Biomet Biologics) and 54 ml of whole blood each. The mixture was centrifuged for 15 min at 3200 rpm and the platelet-poor plasma (PPP) was separated from the PRP. To obtain the necessary autologous thrombin for the activation of the thrombocytes, two 10 ml syringes were filled with 7 ml whole blood and centrifuged for 2.5 min at 3200 rpm. The resulting 4 ml supernatant containing the autologous thrombin was mixed with 1 ml of 10% calcium chloride. The PRP was activated by mixing the thrombin solution with the PRP in a ratio of 1:10. Immediate clotting of the solution within 2 min proved the activation of the platelets. The resulting activated PRP was used for further investigations. Blood was collected for plasma and serum samples, in an EDTA and a serum separator tube respectively. Subsequently the serum was allowed to clot for 30 min at room temperature. The plasma and serum samples were then harvested after centrifugation for 15 min at 3,200 rpm. Aliquots of activated PRP, plasma and serum were conserved at -80°C for further measurements of growth factors.
Determination of platelet concentrations in whole blood and PRP
The platelets concentrations in inactivated PRP and native EDTA blood were analyzed in an automatic counter (ADVIAs 120, Bayer Diagnostics GmbH, Leverkusen, Germany) using veterinary software adapted to pig blood cells.
Determination of growth factors concentrations in plasma and PRP
To determine the concentrations of TGF-β1, BMP-2, BMP-7 and VEGF in plasma and activated PRP, respectively in serum and activated PRP for PDGF-bb, the appropriate ELISA tests (Quantikine® ELISA-Kits; R&D Systems Minneapolis, MN, USA) were used as recommended by the manufacturer. With the exception of porcine TGF-β1, all other ELISAs were validated for human samples only. Monoclonal antibodies specific for the growth factors were used as capture antibodies and the horseradish-peroxidase-linked polyclonal antibodies directed against the growth factors served as detection antibodies. Diluted plasma/serum and PRP samples or standards with decreasing concentrations of recombinant growth factors were added into the plates which were incubated for two hours at room temperature. Subsequently, the plates were washed and the detection antibodies were added to the plates for two hours. After a further washing step the peroxidase activity was measured, using tetramethylbenzidine as a substrate. After 30 min the reaction was stopped by adding an acid solution, and the absorbance at 450 nm was recorded photometrically by a multilabel plate reader (Victor X3, Perkin-Elmer, Rodgau, Germany). Growth factor concentrations were calculated based on the standard curve obtained with recombinant standard growth factors and results were expressed in pg/ml. The minimum detectable dose was settled at 11 pg/ml for BMP-2 and BMP-7, 9 pg/ml for VEGF and 15 pg/ml for TGF-β1 and PDGF-bb. The fold increasing between the non-enriched and the enriched preparations was calculated by dividing the mean values of the enriched samples by the mean values of the corresponding non-enriched groups.
Statistical analysis
The statistical analysis was performed using a commercially available software program (SPSS 19.0, SPSS Inc., Chicago, IL, USA). Mean values (n=16) and standard deviations were calculated for each parameter. For the statistical comparisons between the non-enriched and PRP groups, the unpaired t-test was used. For correlation analysis of growth factors concentration with platelet counts, linear regression was performed between the X and Y axis using Statistica 7.1 (Statistica for Windows, version 7.1, http://www.statsoft.com). A p value <0.05 was considered significant.
Results
Platelet concentration in PRP
Platelet concentrations in freshly collected EDTA blood varied inter-individually between 198 and 522 x 103/mm3 (mean 401.75±79.25) platelets. In the PRP samples the platelet concentration increased significantly (p<0.01) and ranged between 995 and 3,330 x 103/mm3 (1,869.9±511.1) platelets (Figure 1 [Fig. 1]). On average a 4.65-fold concentration increase could be measured.
Figure 1: Quantification of platelets in EDTA-blood and inactivated platelet-rich plasma of minipigs. Platelet number was measured in native blood plasma and PRP before activation (n=16) with the help of an automated cell counter. The box represents the 50% between 25% and 75% quartiles. The black line inside the box indicates the median. The top and bottom lines denote the 5 and 95 percentile, whereas the black crosses denote minimum and maximum values. **p<0.01 PRP versus blood.
Growth factor concentrations in plasma/serum and PRP and their correlation with the platelet count
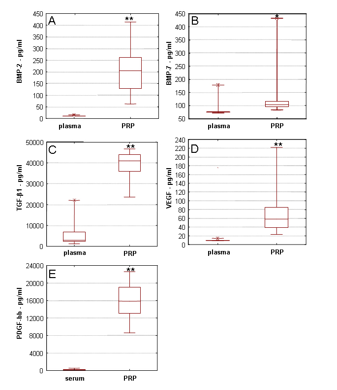
The growth factor concentrations were significantly higher in activated PRP for all growth factors tested in comparison to plasma or serum (Figure 2 [Fig. 2]).
Figure 2: Concentration of growth factors in activated platelet-rich plasma of mini-pig. The concentration of BMP-2 (A), BMP-7 (B), TGF-β1 (C), VEGF (D) and PDGF-bb (E) in plasma/serum and activated PRP, as shown at the bottom of the graphs, was recorded by specific ELISA tests. The box represents the 50% between 25% and 75% quartiles. The black line inside the box indicates the median. The top and bottom lines denote the 5 and 95 percentile, whereas the black crosses denote minimum and maximum values. Sixteen samples were examined for each parameter. *p<0.05 activated PRP versus plasma/serum for BMP-7 and **p<0.01 for BMP-2, TGF-β1, VEGF and PDGF-bb. 
Five plasma samples contained evident levels of BMP-2, whereas variable amounts (62.5 to 413.7 pg/ml; mean 204.9±100.4) of BMP-2 could be measured in all corresponding PRP samples resulting in an 17.6 fold increase in comparison with plasma (p<0.01) (Figure 2A [Fig. 2]). In contrast to BMP-2 variable amounts of BMP-7 ranging from 72.2 to 178.5 pg/ml (83.2±25.7) were determined in plasma. The concentration of BMP-7 in PRP samples varied between 84 and 433 pg/ml (125.2±83.7), resulting in a 1.5-fold increase in comparison to plasma (p<0.05) (Figure 2B [Fig. 2]).
TGF-β1 in plasma of native blood showed a range between 1,187 and 22,015 pg/ml (5,606±5,669) and varied in PRP between 23,625 and 46,745 pg/ml (39,637±6,014). Hence, the concentration of TGF-β1 increased significantly (p<0.01) by 7.1-fold in PRP compared to plasma of native blood (Figure 2C [Fig. 2]). Eleven of the 16 plasma samples displayed measurable amounts (9.75±1.59 pg/ml) of VEGF. On the contrary, in all PRP samples VEGF could be measured (range 23.1 to 221.7 pg/ml; mean 70.9±49.1) achieving an increase of 7.2 (p<0.01) (Figure 2D [Fig. 2]).
Evident levels of PDGF-bb in serum of native blood were measured in 11 of 16 samples and varied between 44 and 535 pg/ml (152.8±183.42). On the other hand, all PRP samples contained variable PDGF-bb concentrations (range 8,619 to 22,577 pg/ml; 15,795±4,118), resulting in a 103.3-fold increase (p<0.01) in comparison to plasma (Figure 2E [Fig. 2]).
Excepting the BMP-7 concentration which did not correlate with the platelet count (r=0.12, p>0.05), a positive correlation was found between platelets and the concentrations of BMP-2 (r=0.62, p<0.001) (details not shown), TGF-β1 (r=0.85, p<0.001) (Figure 3A [Fig. 3]), VEGF (r=0.46, p<0.01) (details not shown) and PDGF-bb (r=0.9, p<0.001) (Figure 3B [Fig. 3]).
Figure 3: Linear regression analysis of the platelets counts in EDTA-blood (filled symbols) and in inactivated PRP (open symbols) versus the respective concentration of (A) TGF-β1 and (B) PDGF-bb in plasma respectively serum and activated PRP. The concentration of platelets in activated PRP was assumed to be equal to the number of platelets in inactivated PRP. Each point on the graph represents an individual mini-pig value.
Discussion
Using a systematic approach we monitored the concentration of platelets and selected growth factors in plasma/serum versus PRP in minipigs. Several studies examined the effects of PRP in various orthopedic experimental approaches in minipigs [21], [23], [24], [25]. After morphological examination some of the groups reported beneficial effects such as enhancement of bone formation and osseointegration of dental implants [21], [23], [26] whereas others did not observed significant effects [24], [25], [27] of the PRP. The beneficial effects of the PRP rely probably on the delivery of increased concentration of growth factors. However, a detailed examination of platelets and growth factors concentration in the PRP preparations used in these studies was not performed making a conclusion regarding the effects of PRP in this species difficult.
Despite the increasing use of PRP in veterinary medicine, its cellular as well as the molecular composition is not defined for most of the animal species. Recently the concentration of platelets and selected growth factors was reported in canine conditioned plasma [28] as well as in horse PRP [29]. In minipigs, we obtained comparable amounts of TGF-β1 and PDGF-bb with the horse [29] but higher concentrations in comparison with the ones in dogs [28], indicating that the plasma enrichment and activation methods influence the amounts of available growth factors.
In the present study, the platelet concentrations in PRP samples of minipigs increased significantly in comparison to whole blood assuming an increased concentration of growth factors. Our findings showed that indeed the increase in the platelet count resulted in increased concentrations of the growth factors in PRP supporting the previously reported correlation between platelet count and concentration of platelet derived growth factors [5]. The level of BMP-2, BMP-7, TGF-β1, VEGF and PDGF-bb elevated to 17.6, 1.5, 7.1, 7.2 and 103.3 fold in activated PRP in comparison to the correspondent non-enriched preparations in our study. Except the BMP-7, all other parameters tested correlated significantly with the platelets count. These findings are in accord with Sundman et al. [30] who demonstrated that human TGF-β1 and PDGF concentrations correlate with the platelet count supporting their presence in the α-granules of the platelets [4], [5], [31]. Additionally, we proved that also BMP-2 and VEGF level correlated with the platelet counts. Wahlstrom et al. showed that PDGF, TGF-β, and VEGF were present in all platelet preparations but the levels varied in a pH dependent fashion [32]. They also found out that BMP-2 was only detected in acidic preparation (pH 4.3) suggesting that the platelets release substantial amounts of BMP-2 only under conditions of low pH, the milieu associated with the critical initial stage of fracture healing [32]. These results show that the release of such factors is a multifactorial phenomenon with specific peculiarities for each molecule and might explain our modest elevation of BMP-7 in PRP and its lack of correlation with the platelet count.
The absence of validated commercial animal specific kits for the detection of growth factors might explain why such parameters are not yet characterized for experimental animals. Interestingly, although some of the ELISA tests used were validated for human use only they seemed to provide reliable results with mini-pig samples since comparable values with the one from humans were obtained [30] indicating that they are highly cross-reactive with the porcine growth factors which are assumed to be very similar with the human ones.
The specific physiological effects of the growth factors are well defined. BMPs induce the differentiation of mature mesenchymal stem cells into bone- and cartilage-forming cells. BMP-2 and BMP-7 belong to the TGF-β superfamily of proteins and have been shown to be beneficial in the treatment of a variety of bone-related conditions including delayed union and non-union [33]. In contrast to the delivery of recombinant BMP-2 and BMP-7, PRP with its autologous origin does not cause any risk of allergies and graft versus host reactions [26]. TGF-β family of cytokines has been intensively studied [34]. TGF-β is produced in platelets and macrophages [35] and can act as a paracrine as well as an autocrine growth factor. The most important functions of TGF-β seem to be on one hand chemotaxis and mitogenesis of osteoblasts [36] and on the other inhibition of the formation of osteoclasts and bone resorption [37]. VEGF is stored and secreted by endothelium and osteoblasts and plays a major role in angiogenesis during repair of fractures [14]. PDGF is released from the platelets during the formation of haematoma and stimulates the migration of osteoblasts and mesenchymal progenitor cells [16], [17].
Conclusion
Taken together, the sufficient number of samples as well as the optimal enrichment in the number of platelets in PRP in comparison to native blood allowed us to document also an increase in the concentration of growth factors. In conclusion the preparation and application of PRP represents an easy method to provide autologous growth factors during surgery in experimental models in minipigs. Due to its autologous origin PRP is an attractive alternative to synthetic preparations without the risk of hypersensitivity and graft reactions versus host reactions.
Notes
Competing interests
The authors declare that they have no competing interests.
References
[1] Camargo PM, Lekovic V, Weinlaender M, Vasilic N, Madzarevic M, Kenney EB. Platelet-rich plasma and bovine porous bone mineral combined with guided tissue regeneration in the treatment of intrabony defects in humans. J Periodont Res. 2002 Aug;37(4):300-6. DOI: 10.1034/j.1600-0765.2002.01001.x[2] Garg AK. The use of platelet-rich plasma to enhance the success of bone grafts around dental implants. Dent Implantol Update. 2000 Mar;11(3):17-21.
[3] Hakimi M, Jungbluth P, Sager M, Betsch M, Herten M, Becker J, Windolf J, Wild M. Combined use of platelet-rich plasma and autologous bone grafts in the treatment of long bone defects in mini-pigs. Injury. 2010 Jul;41(7):717-23. DOI: 10.1016/j.injury.2009.12.005
[4] Alsousou J, Thompson M, Hulley P, Noble A, Willett K. The biology of platelet-rich plasma and its application in trauma and orthopaedic surgery: a review of the literature. J Bone Joint Surg Br. 2009 Aug;91(8):987-96. DOI: 10.1302/0301-620X.91B8.22546
[5] Weibrich G, Gnoth SH, Otto M, Reichert TE, Wagner W. Wachstumsstimulation von humanen osteoblastenähnlichen Zellen durch Thrombozytenkonzentrate in vitro [Growth stimulation of human osteoblast-like cells by thrombocyte concentrates in vitro]. Mund Kiefer Gesichtschir. 2002 May;6(3):168-74. DOI: 10.1007/s10006-002-0367-6
[6] Andrew JG, Hoyland JA, Freemont AJ, Marsh DR. Platelet-derived growth factor expression in normally healing human fractures. Bone. 1995 Apr;16(4):455-60.
[7] Bostrom MP. Expression of bone morphogenetic proteins in fracture healing. Clin Orthop Relat Res. 1998 Oct;(355 Suppl):S116-23. DOI: 10.1097/00003086-199810001-00013
[8] Bourque WT, Gross M, Hall BK. Expression of four growth factors during fracture repair. Int J Dev Biol. 1993 Dec;37(4):573-9.
[9] Joyce ME, Jingushi S, Bolander ME. Transforming growth factor-beta in the regulation of fracture repair. Orthop Clin North Am. 1990 Jan;21(1):199-209.
[10] Dallari D, Savarino L, Stagni C, Cenni E, Cenacchi A, Fornasari PM, Albisinni U, Rimondi E, Baldini N, Giunti A. Enhanced tibial osteotomy healing with use of bone grafts supplemented with platelet gel or platelet gel and bone marrow stromal cells. J Bone Joint Surg Am. 2007 Nov;89(11):2413-20. DOI: 10.2106/JBJS.F.01026
[11] ten Dijke P, Fu J, Schaap P, Roelen BA. Signal transduction of bone morphogenetic proteins in osteoblast differentiation. J Bone Joint Surg Am. 2003;85-A Suppl 3:34-8.
[12] Wozney JM, Rosen V. Bone morphogenetic protein and bone morphogenetic protein gene family in bone formation and repair. Clin Orthop Relat Res. 1998 Jan;(346):26-37.
[13] Lind M, Overgaard S, Nguyen T, Ongpipattanakul B, Bünger C, Søballe K. Transforming growth factor-beta stimulates bone ongrowth. Hydroxyapatite-coated implants studied in dogs. Acta Orthop Scand. 1996 Dec;67(6):611-6. DOI: 10.3109/17453679608997766
[14] Li G, Cui Y, McIlmurray L, Allen WE, Wang H. rhBMP-2, rhVEGF(165), rhPTN and thrombin-related peptide, TP508 induce chemotaxis of human osteoblasts and microvascular endothelial cells. J Orthop Res. 2005 May;23(3):680-5. DOI: 10.1016/j.orthres.2004.12.005
[15] Mayer H, Bertram H, Lindenmaier W, Korff T, Weber H, Weich H. Vascular endothelial growth factor (VEGF-A) expression in human mesenchymal stem cells: autocrine and paracrine role on osteoblastic and endothelial differentiation. J Cell Biochem. 2005 Jul;95(4):827-39. DOI: 10.1002/jcb.20462
[16] Fiedler J, Etzel N, Brenner RE. To go or not to go: Migration of human mesenchymal progenitor cells stimulated by isoforms of PDGF. J Cell Biochem. 2004 Nov;93(5):990-8. DOI: 10.1002/jcb.20219
[17] Mehrotra M, Krane SM, Walters K, Pilbeam C. Differential regulation of platelet-derived growth factor stimulated migration and proliferation in osteoblastic cells. J Cell Biochem. 2004 Nov;93(4):741-52. DOI: 10.1002/jcb.20138
[18] Bergner A, Stief J, Holdenrieder S, Stieber P, Haimerl W, Passlick B, Waldschmidt A, Kummermehr J, Gamarra F, Huber RM. Effects of single-dose irradiation on bronchial epithelium: a comparison of BEAS 2B cell monolayers, human organ cultures, and Goettinger minipigs. Radiat Res. 2003 Dec;160(6):647-54. DOI: 10.1667/RR3075
[19] Bode G, Clausing P, Gervais F, Loegsted J, Luft J, Nogues V, Sims J; Steering Group of the RETHINK Project. The utility of the minipig as an animal model in regulatory toxicology. J Pharmacol Toxicol Methods. 2010 Nov-Dec;62(3):196-220. DOI: 10.1016/j.vascn.2010.05.009
[20] Brüssow KP, Kanitz E, Tuchscherer A, Tosch P. Study of enteral versus parenteral application of the gonadotropin releasing hormone agonist Gonadorelin[6-D-Phe] (D-Phe6-LHRH) on LH secretion in Goettinger miniature pigs. J Reprod Dev. 2007 Jun;53(3):699-706. DOI: 10.1262/jrd.18176
[21] Fuerst G, Gruber R, Tangl S, Sanroman F, Watzek G. Enhanced bone-to-implant contact by platelet-released growth factors in mandibular cortical bone: a histomorphometric study in minipigs. Int J Oral Maxillofac Implants. 2003 Sep-Oct;18(5):685-90.
[22] Schlegel KA, Kloss FR, Schultze-Mosgau S, Neukam FW, Wiltfang J. Tierexperimentelle Untersuchung zum Einfluss verschiedener Thrombozytenkonzentrate auf die Defektregeneration mit autogenem Knochen und Kombinationen von autogenem Knochen und Knochenersatzmaterialien (Biogran und Algipore). Mikroradiographische Ergebnisbewertung [Osseous defect regeneration using autogenous bone alone or combined with Biogran or Algipore with and without added thrombocytes. A microradiologic evaluation]. Mund Kiefer Gesichtschir. 2003 Mar;7(2):112-8. DOI: 10.1007/s10006-003-0454-3
[23] Pieri F, Lucarelli E, Corinaldesi G, Fini M, Aldini NN, Giardino R, Donati D, Marchetti C. Effect of mesenchymal stem cells and platelet-rich plasma on the healing of standardized bone defects in the alveolar ridge: a comparative histomorphometric study in minipigs. J Oral Maxillofac Surg. 2009 Feb;67(2):265-72. DOI: 10.1016/j.joms.2008.06.036
[24] Roldán JC, Knueppel H, Schmidt C, Jepsen S, Zimmermann C, Terheyden H. Single-stage sinus augmentation with cancellous iliac bone and anorganic bovine bone in the presence of platelet-rich plasma in the miniature pig. Clin Oral Implants Res. 2008 Apr;19(4):373-8. DOI: 10.1111/j.1600-0501.2007.01465.x
[25] Schlegel KA, Zimmermann R, Thorwarth M, Neukam FW, Klongnoi B, Nkenke E, Felszeghy E. Sinus floor elevation using autogenous bone or bone substitute combined with platelet-rich plasma. Oral Surg Oral Med Oral Pathol Oral Radiol Endod. 2007 Sep;104(3):e15-25. DOI: 10.1016/j.tripleo.2007.04.021
[26] Pieri F, Lucarelli E, Corinaldesi G, Iezzi G, Piattelli A, Giardino R, Bassi M, Donati D, Marchetti C. Mesenchymal stem cells and platelet-rich plasma enhance bone formation in sinus grafting: a histomorphometric study in minipigs. J Clin Periodontol. 2008 Jun;35(6):539-46. DOI: 10.1111/j.1600-051X.2008.01220.x
[27] Powell CA, Bannister SR, Mackey SA, Maller SC, McDonnell HT, Deas DE. Periodontal wound healing with and without platelet-rich plasma: histologic observations and assessment of flap tensile strength. J Periodontol. 2009 Jun;80(6):985-92. DOI: 10.1902/jop.2009.080626
[28] Stief M, Gottschalk J, Ionita JC, Einspanier A, Oechtering G, Böttcher P. Concentration of platelets and growth factors in canine autologous conditioned plasma. Vet Comp Orthop Traumatol. 2011;24(2):122-5. DOI: 10.3415/VCOT-10-04-0064
[29] Textor JA, Norris JW, Tablin F. Effects of preparation method, shear force, and exposure to collagen on release of growth factors from equine platelet-rich plasma. Am J Vet Res. 2011 Feb;72(2):271-8. DOI: 10.2460/ajvr.72.2.271
[30] Sundman EA, Cole BJ, Fortier LA. Growth factor and catabolic cytokine concentrations are influenced by the cellular composition of platelet-rich plasma. Am J Sports Med. 2011 Oct;39(10):2135-40. DOI: 10.1177/0363546511417792
[31] Weibrich G, Hansen T, Kleis W, Buch R, Hitzler WE. Effect of platelet concentration in platelet-rich plasma on peri-implant bone regeneration. Bone. 2004 Apr;34(4):665-71. DOI: 10.1016/j.bone.2003.12.010
[32] Wahlström O, Linder C, Kalén A, Magnusson P. Acidic preparations of platelet concentrates release bone morphogenetic protein-2. Acta Orthop. 2008 Jun;79(3):433-7. DOI: 10.1080/17453670710015364
[33] Wozney JM. Overview of bone morphogenetic proteins. Spine. 2002 Aug;27(16 Suppl 1):S2-8.
[34] Ikushima H, Miyazono K. TGF-beta signal transduction spreading to a wider field: a broad variety of mechanisms for context-dependent effects of TGF-beta. Cell Tissue Res. 2012 Jan;347(1):37-49. DOI: 10.1007/s00441-011-1179-5
[35] Miyazono K, Heldin CH. The mechanism of action of transforming growth factor-beta. Gastroenterol Jpn. 1993 Mar;28 Suppl 4:81-5; discussion 86-7.
[36] Pierce GF, Tarpley JE, Yanagihara D, Mustoe TA, Fox GM, Thomason A. Platelet-derived growth factor (BB homodimer), transforming growth factor-beta 1, and basic fibroblast growth factor in dermal wound healing. Neovessel and matrix formation and cessation of repair. Am J Pathol. 1992 Jun;140(6):1375-88.
[37] Mohan S, Baylink DJ. Bone growth factors. Clin Orthop Relat Res. 1991 Feb;(263):30-48.



