β-trace protein (prostaglandin D synthase) - a stable and reliable protein in perilymph
Olaf Michel 1Stephan Bamborschke 2
Marko Nekic 2
Gregor Bachmann 3
1 University of Cologne, Department of Otorhinolaryngology, Head and Neck Surgery, Cologne, Germany
2 University of Cologne, Department of Neurology, Cologne, Germany
3 University of Tromsoe, Department of Otorhinolaryngology, Tromsoe, Norway
Abstract
Objective: Beta-trace protein (β-TP) has been analysed in human cerebrospinal fluid (CSF) and other body fluids. Beta-trace protein is a very sensitive and specific clinical marker and can confirm reliably the presence of CSF in patients with a suspected CSF leakage.
Design: Perilymph specimens from the scala vestibuli (n=10) and from the lateral semicircular canal (n=4) were taken from patients undergoing stapedotomy or surgery for acoustic neuroma. During post-mortem examinations perilymph specimens from the scala vestibuli (n=70), the scala tympani (n=11), endolymph specimens (n=21) and CSF specimens (n=17) were obtained. All specimens were analyzed by a one-dimensional immunoelectrophoresis using a polyclonal, monospecific antibody.
Results: Specimens from live surgery showed a mean concentration of 51.5 ± 48.9 mg/l β-TP in scala vestibuli perilymph. Specimens from post-mortem examinations revealed a mean concentration of 49.1 ± 17.7 mg/l in CSF, 71.9 ± 29.3 mg/l in perilymph and 68.0 ± 21.7 mg/l in endolymph. There was no evidence of a circadian alteration of β-TP in CSF or inner ear fluids.
Conclusions: Our results demonstrated clearly that β-TP is contained in human perilymph and endolymph. This is the first published data that point out the aptitude of the β-TP-test in verifying traces of perilymph, a valuable diagnostic tool for the existence of perilymphatic leaks.
Keywords
beta-trace protein, perilymph, endolymph, cerebrospinal fluid, prostaglandin D synthase
Introduction
The incidence of perilymphatic fistula has been subject to controversial discussions since they were first described by Simmons [1]. The controversy arose due to difficulties in diagnosing a perilymph fistula at tympanotomy. Unless there is profuse gushing of fluid, there is no reliable, objective, intraoperative indicator of a perilymphatic fistula [2], [3]. The search of specific protein markers [4], [5] or the intravenous application of fluorescein [6] has so far not been successful. Also β2-transferrin was reported to be unique in human perilymph [7], but in a study of 22 patients more than half of them had known perilymph leaks β2-transferrin was falsely negative [8].
Since Felgenhauer [9] demonstrated beta-trace protein (β-TP) to be after albumin the second most abundant protein in human cerebrospinal fluid (CSF) it has become a reliable marker for CSF leaks.
β-TP is completely different to β2-transferrin. With a molecular mass of 23.500 Dalton β-TP is identical to glutathion-independent prostaglandin D synthase [10], which seems to play an important role in regulating the sleep and waking state [11]. So far, the highest concentrations of β-TP were found in CSF and seminal fluid [12]. In serum, the level of β-TP is below the detection limit (< 5 mg/l) of rocket immunoelectrophoresis. Only participants with severe renal filtration barrier pathology would show a detectable concentration of β-TP.
With the more sensitive immunofluorometric assay, which is based on an enzymatic amplified time-resolved fluorometry, the mean levels of β-TP were 0.3 mg/L in human serum and 17 mg/L in human CSF and the detection limit was 5 mg/L [13]. β-TP has the highest CSF/serum ratio of all CSF specific proteins.
β-TP was found in aqueous humor, sperm and urine, too [14]. β-TP was detected in homogenate of the rat cochlea [15] and in the lateral wall of the cochlea of the Mongolian gerbil [16].
Based upon our experience with β-TP in the diagnosis in CSF-leaks, the purpose of this study was to investigate whether β-TP occurs in human inner ear fluids and if positive, in which concentrations compared to CSF.
Subjects and methods
To clarify the occurrence of β-TP we conducted analysis of perilymphatic fluid obtained from post-mortem examinations and from inner ear surgery. In post-mortem examinations 81 perilymph, 21 endolymph specimens and 17 CSF specimens were collected.
14 perilymph samples were sampled from patients undergoing stapedotomy or labyrinthectomy at the Department of Otorhinolaryngology, University of Cologne. The perilymph samples were taken from the lateral semicircular canal (n=4) or from the oval window (n=10). Also pooled CSF taken by lumbar puncture from 125 patients with non-inflammatory diseases of the CNS was studied. 35 serum samples were collected from patients without renal disease. Subjects with a renal insufficiency or acute glomerulonephritis were not enrolled in this study.
Technique of sampling in post-mortem examination
After partial mastoidectomy, removal of the posterior ear canal and the tympanic membrane including malleus and incus, the stapes was exposed and the footplate carefully removed. Samples of perilymph were taken from the scala vestibuli with precision capillary bores (Wiretrol 1-5 μl, Drummond®, Broomall, USA - Pennsylvania 19008) under microscopic view (Figure 1 [Fig. 1]). To prevent contamination with CSF, the samples were taken without active aspiration only by the capillary power. The volume was limited to a minimum of 4 μl and a maximum of 5 μl. The capillary bores were placed near the upper edge of the vestibular window, the membranous labyrinth was initially not touched. After the sampling of a second and third perilymph specimen of 5 μl, the utricle was punctured and endolymph was obtained. If feasible, a second endolymph specimen of 5 μl was taken. CSF specimens were obtained from the third ventricle. The period between death and autopsy as well as the cause of death were documented.
Figure 1: Precision capillary bore (1-5 µl), placed at the edge of the oval window under microscopic view (Magn.: 12 x), FN: facial nerve, TN: tympanic nerve, OW: oval window

Technique of sampling at stapes surgery
14 perilymph samples were obtained from patients undergoing stapedotomy or labyrinthectomy. The perilymph samples were taken from the oval window or from the lateral semicircular canal using sterilized precision bore. The volume of the fluid specimen was restricted to a maximum of 5 μl. Because of the high specificity of β-TP, small blood contamination or small dilution with local anesthetic could be ignored.
In addition to the post-mortem CSF samples, pooled CSF taken by lumbar puncture from 125 patients with non-inflammatory diseases of the CNS was studied. 35 serum samples were collected from patients without renal disease.
Rocket immunoelectrophoresis
All specimens were investigated by a rocket immunoelectrophoresis using a monospecific, polyclonal antibody, used in rabbits [9]. Investigation took place either immediately or after storage of maximum 7 days at - 40°C. The standard electroimmunoassay as described by Laurrell [16] was performed using a gel composition of 1.5% Litex agarose (Litex, Denmark), 0.02 M barbital buffer pH 8.6, 1% antiserum, 1% polyethylenglycol 6000 (Merck, Darmstadt, Germany) and an electrophoresis buffer of 0.02 M barbital buffer, pH 8.6. Electrophoresis was performed during 3 hours at 18° C at a constant voltage of 250 V. Semiquantitative measurements were performed using a standard row with serial dilution of purified β-TP isolated from pooled human CSF (Figure 2 [Fig. 2]) as described by Felgenhauer et al. [9].
Figure 2: Rocket electrophoresis with standard row on the left (1-5). Specimen from surgery (6 and 9-10): scala vestibuli perilymph. Specimen from post-mortem examination (7-8): scala vestibuli perilymph. Specimen from post-mortem examination (11): endolymph.

Results
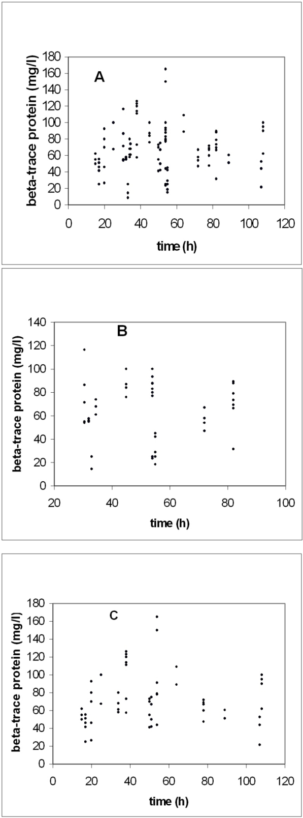
By immunoelectrophoresis the perilymph, endolymph and CSF specimens from post-mortem examination precipitated clearly (Figure 2 [Fig. 2]). In correlation with the time of death, there was no clear evidence for a circadian alteration (Figure 3 [Fig. 3] ). Up to 117 hours post mortem a significant change of the β-TP concentration in CSF and inner ear fluids was not observed in males or females (Figure 4 A, B, C [Fig. 4]). The values ranged between 8.5 mg/l and 165 mg/l.
Figure 3: Correlation of β-TP concentration in human inner ear fluids and time of death. Scatterplot of β-TP concentration in human perilymph and endolymph
vs.
time post-mortem. Maximum between 10:00 and 12:00 p.m.

Figure 4: A: Scatterplot of time after death
vs.
β-TP concentrations (all specimens);
B: Scatterplot of time after death
vs.
β-TP concentrations in males;
C: Scatterplot of time after death
vs.
β-TP concentrations in females.

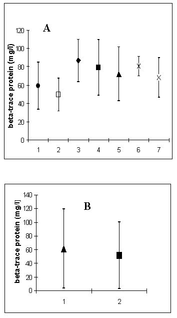
As depicted in Figure 5 A [Fig. 5], the mean concentration of β-TP was 49.1 ± 17.7 mg/l in CSF and 59.0 ± 25.8 mg/l in perilymph (scala tympani). In the first drawn specimen of scala vestibuli perilymph β-TP was found in a concentration of 71.9 ± 29.3 mg/l. In the second specimen from the scala vestibuli 78.7 ± 30.4 mg/l and in the third specimen 86.4 ± 23.1 mg/l were detected. In endolymph, samples the values were 68.0 ± 21.7 mg/l (first specimen) and 80.5 ± 10.6 mg/l (second specimen). The first perilymph specimen from the labyrinthine vestibule showed a lower concentration compared to the second or third specimens, which originated from deeper parts of the scala vestibuli. The β-TP concentration in the second endolymph specimens was also higher in comparison with the values from the first specimens.
Figure 5: A: β-TP concentrations in CSF and different inner ear compartments from post-mortem examinations. 1 = scala tympani perilymph (59.0 ± 25.8; n=11); 2 = III. ventricle CSF (49.1 ± 17.7; n=17); 3 = third scala vestibuli perilymph specimen (86.6 ± 23.1; n=7); 4 = second scala vestibuli perilymph specimen (78.7 ± 30.3; n=27); 5 = first scala vestibuli perilymph specimen (71.9 ± 29.2; n=36); 6 = second endolymph specimen (80.5 ± 10.6; n=2); 7 = first endolymph specimen (68.0 ± 21.6; n=19);
B: β-TP concentrations in different inner ear compartments from surgical procedures. 1 = perilymph from the lateral semicircular canal (61.5 ± 57.7; n=4); 2 = scala vestibuli perilymph from the oval window (51.4 ± 48.9; n=10)

The samples obtained during inner ear surgery were all positive for β-TP. The specimens revealed a β-TP-concentration of 61.5 ± 57.8 mg/l in perilymph from the lateral semicircular canal and 51.4 ± 48.9 mg/l in perilymph from the scala vestibuli (Figure 5 B [Fig. 5]).
In pooled CSF taken by lumbar puncture from 125 patients with non-inflammatory diseases, a β-TP-concentration of 28.4 mg/l was determined. All serum samples were negative for β-TP.
Discussion
The issue of whether perilymphatic fistula is the cause of hearing loss remains enigmatic unless a specific marker exists for reliable proof. With β-TP, such a specific marker could exist.
In human CSF, the occurrence and the concentration of β-TP have been investigated by several authors and were re-evaluated in this study (Table 1 [Tab. 1]). β-TP has become a reliable indicator for CSF-leak with advantages over β2-transferrin. Although it is detectable in perilymph [17], β2-transferrin did not provide evidence to be a reliable clinical marker for perilymph in the operative setting because of its little sensitivity with 29% positive results [8]. This is partly due to the property of this protein as a brain-specific variant of transferrin that lacks neuraminic acid. It can be distinguished from serum transferrin by electrophoretic procedures only.
Table 1: β-TP concentrations in human CSF

Our study now makes obvious that β-TP is detectable in inner ear fluids in even higher concentration compared to CSF. Nevertheless, our results are the first to quantify β-TP in inner ear fluids. Tachibana and coworkers [15] described prostaglandin D synthase (PGD-S) activity in rat inner ear homogenate. With this method it is not possible to distinct where predominantly PGD-S could be found in the inner ear.
The analysis of our entire specimen revealed a high interindividual variation between 8.5 and 165 mg/l, which cannot yet be explained due to the unknown physiological role of β-TP. With the upcoming new nephelometryic assay it will be more feasable in the future to analyse β-TP under various conditions. Nevertheless, β-TP proved to be a very stable protein. Until 117 hours after sampling, no significant variation in the β-TP concentration in the diverse samples was detected. The sensitivity was 100% in n=81 perilymph and n=21 endolymph samples. The concentration of β-TP showed no significant divergence comparing both inner ear fluids.
We did not find clear evidence for a circadian alteration of the β-TP-level in inner ear fluids as it could be assumed from its role in the sleep/awake rhythm and as detected in CSF [18]. The highest concentrations were found when death had occurred around midnight. But a high interindividual variation and not excludable post-mortem changes hindered a statistical proof for a circadian rhythm in our series. Nevertheless, the high interindividual variation as observed cannot be.
By this clear confirmation for the occurrence of β-TP in inner ear fluids and particularly in perilymph, assessment for clinical use is feasible without circumstantial and biasing handling, which has been described for the β2-transferrin test [19].
This is the first published data that point out the aptitude of the β-TP-test in verifying traces of perilymph in the middle ear, a valuable diagnostic tool for the existence of perilymphatic leaks as we have already shown in two cases of an vestibulocochlear disorder [20]. Nowadays, an immediate intraoperative check for β-TP is possible by laser-nephelometry, which takes only 20 minutes detection time [21].
References
[1] Simmons FB. Theory of membrane breaks in sudden hearing loss. Arch Otolaryngol. 1968;88(1):41-8.[2] Vartiainen E, Nuutinen J, Karjalainen S, Nykanen K. Perilymph fistula--a diagnostic dilemma. J Laryngol Otol. 1991;105(4):270-3.
[3] Shea JJ. The myth of spontaneous perilymph fistula [editorial] [see comments]. Otolaryngol Head Neck Surg. 1992;107(5):613-6.
[4] Schweitzer VG, Woodson BT, Mawhinney TD, Rarey KE, Bauman MJ, Raymer SL, Peterson. Free amino acid analysis of guinea pig perilymph: a possible clinical assay for the PLF enigma? Otolaryngol Head Neck Surg. 1990;103(6):981-5.
[5] Thalmann I, Kohut RI, Ryu J, Comegys TH, Senarita M, Thalmann R. Protein profile of human perilymph: in search of markers for the diagnosis of perilymph fistula and other inner ear disease. Otolaryngol Head Neck Surg. 1994;111(3 Pt 1):273-80.
[6] Poe DS, Gadre AK, Rebeiz EE, Pankratov MM. Intravenous fluorescein for detection of perilymphatic fistulas. Am J Otol. 1993;14(1):51-5.
[7] Weber PC, Kelly RH, Bluestone CD, Bassiouny M. Beta 2-transferrin confirms perilymphatic fistula in children. Otolaryngol Head Neck Surg. 1994;110(4):381-6.
[8] Levenson MJ, Desloge RB, Parisier SC. Beta-2 transferrin: limitations of use as a clinical marker for perilymph. Laryngoscope. 1996;106(2 Pt 1):159-61.
[9] Felgenhauer K, Schädlich HJ, Nekic M. Beta-trace protein as marker for cerebrospinal fluid fistula. Klin Wochenschr. 1987;65(16):764-8.
[10] Hoffmann A, Conradt HS, Gross G, Nimtz M, Lottspeich F, Wurster U. Purification and chemical characterization of beta-trace protein from human cerebrospinal fluid: Its identification as prostaglandin D synthase. J Neurochem. 1993;61(2):451-6.
[11] Hayaishi O, Matsumura H, Urade Y. Prostaglandin D synthase is the key enzyme in the promotion of physiological sleep. J Lipid Mediat. 1993;6(1-3):429-31.
[12] Link H, Olsson JE. Beta-trace protein concentration in CSF in neurological disorders. Acta Neurol Scand. 1972;48(1):57-68.
[13] Melegos DN, Diamandis EP, Oda H, Urade Y, Hayaishi O. Immunofluorometric assay of prostaglandin D synthase in human tissue extracts and fluids. Clin Chem. 1996;42(12):1984-91.
[14] Giacomelli S, Leone MG, Grima J, Silvestrini B, Cheng CY. Astrocytes synthesize and secrete prostaglandin D synthetase in vitro. Biochim Biophys Acta. 1996;1310(3):269-76.
[15] Tachibana M, Fex J, Urade Y, Hayaishi O. Brain-type prostaglandin D synthase occurs in the rat cochlea. Proc Natl Acad Sci U S A. 1987;84[21]: 7677-80.
[16] Laurell CB. Electroimmunoassay. Scand J Clin Lab Invest. 1972;29(Suppl 124):21-3.
[17] Skedros DG, Cass SP, Hirsch BE, Kelly RH. Beta-2 transferrin assay in clinical management of cerebral spinal fluid and perilymphatic fluid leaks. J Otolaryngol. 1993;22(5):341-4.
[18] Pandey HP, Ram A, Matsumura H, Satoh S, Hayaishi O. Circadian variations of prostaglandins D2, E2, and F2 alpha in the cerebrospinal fluid of anesthetized rats. Biochem Biophys Res Commun. 1995;213(2):625-9.
[19] Skedros DG, Cass SP, Hirsch BE, Kelly RH. Sources of error in use of beta-2 transferrin analysis for diagnosing perilymphatic and cerebral spinal fluid leaks. Otolaryngol Head Neck Surg. 1993;109(5):861-4.
[20] Bachmann G, Petereit H, Djenabi U, Michel O. Messung von beta-trace-Protein zum Nachweis von Perilymphfisteln. HNO. 2002;50(2):129-33.
[21] Bachmann G, Petereit H, Djenabi U, Michel O. Predictive values of beta-trace protein (prostaglandin D synthase) by use of laser-nephelometry assay for the identification of cerebrospinal fluid. Neurosurgery. 2002;50(3):571-6.
[22] Tumani H, Reiber H, Nau R, Prange HW, Kauffmann K, Mader M, Felgenhauer K. Beta-trace protein concentration in cerebrospinal fluid is decreased in patients with bacterial meningitis. Neurosci Lett. 1998;242(1):5-8.



