Time dependent impact of diabetes on mortality in patients with stroke: Survival up to 5 years in a health insurance population cohort in Germany
Heiner Claessen 1Andrea Icks 1,2
Stephan Morbach 3
Gerd Glaeske 4
Falk Hoffmann 4
1 Institut für Biometrie und Epidemiologie, Deutsches Diabetes Zentrum an der Heinrich-Heine Universität, Leibniz-Zentrum für Diabetesforschung, Düsseldorf, Germany
2 Funktionsbereich Public Health, Medizinische Fakultät, Heinrich-Heine-Universität, Düsseldorf, Germany
3 Abteilung für Diabetologie und Angiologie, Marienkrankenhaus, Soest, Germany
4 Universität Bremen, Zentrum für Sozialpolitik, Bremen, Germany
Abstract
Aims: To estimate the impact of diabetes on mortality in patients after first stroke event.
Methods: Using claims data of a nationwide statutory health insurance fund (Gmünder ErsatzKasse, GEK), we assessed all deaths in a cohort of all 5,757 patients with a first stroke between 2005 and 2007 (69.3% male, mean age 68.1 years, 32.2% diabetic) up to 2009. Using Cox regression, we estimated time dependent hazard ratios (HR) to compare patients with and without diabetes stratified by sex.
Results: The cumulative 5 year mortality was 40.0% and 54.2% in diabetic men and women, and 32.3% and 38.1% in their non-diabetic counterparts, respectively. In males, mortality was significantly lower in diabetic compared to non-diabetic patients in the first 30 days (multiple-adjusted HR 0.67; 95% confidence interval 0.53–0.84). In the following time, the diabetes risk increased yielding crossed survival curves after about a quarter year. Later on, mortality risk tended to be similar in diabetic and non-diabetic men (1–2 years HR 1.42; 1.09–1.85; 3–5 years HR 1.00; 0.67–1.41) (time-dependency of diabetes, p=0.008). In women, the pattern was similar, however, time dependency was not statistically significant (p=0.89). Increasing age, haemorrhagic stroke, renal failure (only in men), levels of care dependency, and the number of prescribed medications were significantly associated with mortality.
Conclusions: We found a time dependent mortality risk of diabetes following first stroke in men. Possible explanations may be type of stroke, or earlier and more intensive treatment of risk factors in diabetic patients.
Keywords
diabetes, stroke, mortality
Introduction
Although the reduction of stroke in diabetes has frequently been cited as a primary objective by health systems and organizations [1], diabetic individuals still have an about twofold stroke risk compared to non-diabetic patients [2], [3], [4], [5], [6]. Diabetes has been considered as risk factor for higher mortality in patients after stroke [7], [8], [9]. However, to the best of our knowledge, there are only few population- or insurance-based studies which investigated mortality after stroke in the diabetic compared to the non-diabetic population [10], [11], [12], but they analysed only single subtypes of stroke or shorter periods of follow-up. The studies found a higher mortality in the diabetic population, for the 28-days fatality as well as for periods up to one year. The latter finding is in contrast to the short term mortality after beginning of renal replacement therapy and after amputation, where a time-dependent impact of diabetes for mortality has been found, with lower or virtually the same mortality in diabetic patients during the first period [13], [14], [15]. However, thereafter diabetes became a risk factor. For mortality after beginning of renal replacement therapy, differences between men and women have been observed.
Hence, aim of our study was to evaluate the mortality risk in diabetic and non-diabetic individuals after a first stroke up to 5 years of follow-up in Germany, using claims data of a nationwide statutory health insurance. We further focussed on differences between men and women.
Material and methods
Definition of the study population
We used data from a statutory health insurance company, the Gmünder ErsatzKasse (GEK), which insures about 1.6 million people located in all regions of Germany (1.9% of the German population). We included only first strokes between 2005 and 2007 in persons with a period free from stroke of at least 1 year (n=6,160). Persons younger than 30 years were excluded as well as all co-insured persons as a dependent and members who left the GEK for reasons other than death within the study period. Both criteria were applied to avoid informative censoring in the survival analysis (e.g., an insurance period ends due to death but this reason might not be documented in these cases). Our final cohort, therefore, consisted of 5,757 patients with a first stroke during 2005 to 2007 and was followed up until the end of 2009.
Strokes (cerebral ischemia, intracerebral hemorrhage, subarachnoid hemorrhage, and stroke of uncertain cause, but no transient ischemic attacks) were defined following WHO definition [16]. Diabetes status was assessed according to an established algorithm that has been used in several studies analyzing claims data of German statutory health insurance funds (e.g., [13], [17]). A person was identified as diabetic if at least one of the following characteristics was fulfilled within 12 months in the observation period between 2004 and 2007: (a) diabetes diagnosis (ICD E10-E14) in at least three of four consecutive quarters in outpatient care, (b) at least two prescriptions of antihyperglycemic medication (ATC code A10) within 12 months, or (c) at least one prescription of an antihyperglycemic medication and one diabetes diagnosis or one measurement of blood glucose or HbA1c within 12 months.
Statistical analysis
The main analyses were performed stratified for men and women. The outcome of interest was the time from the first stroke up to death or the end of the study period (December 31, 2009), whichever came first. We assessed crude survival with the Kaplan Meier estimator, stratified for diabetes as well as for sex. The appropriateness of the Cox proportional hazard assumption was further visualised using log-log survival plots (i.e. plotting log (-log(S(t)) against log(t)). If the assumption is fulfilled, the curves should be parallel to each other. Furthermore we tested the proportional hazards assumption via the test proposed by Grambsch and Therneau [18]. Because we expected that the interaction between diabetes and time was statistically significant, that means that the proportional hazard assumption was violated, we performed Cox regression using discrete time intervals to model the time dependency of diabetes [19]. We estimated time-dependent hazard ratios (HR) and 95% confidence intervals (95% CI) in multivariate analyses. As predictors, we included diabetes, interaction of diabetes with the discrete time intervals (30 days, 6, 12, 24, 36, and 60 months), and age (as continuous variable). We chose the time intervals in line with previous studies to be able to compare our results, and based on clinical experience. In a second model the type of stroke (ischemic, haemorrhagic, not specified), the number of prescribed medications (as continuous variable), the level of care dependency (4 categories) as well as the above given outpatient diagnoses for hypertension, coronary heart diseases and renal failure were added as further independent variables.
The study was conducted according to the principles expressed in the Declaration of Helsinki. We considered the STROBE statement and the criteria of a national good practice guideline [20], [21]. The use of health insurance claims data for scientific research is regulated by the German Code of Social Law (SGB X). Because our study was based on pseudonymous data, we did not have to obtain informed consent. According to the Good Practice of Secondary Data Analysis, a national guideline for the use of administrative databases, no approval of an ethical committee is required [21].
Results
The 5,757 individuals with a first stroke between 2005 and 2007 were at average 68.1 years old, were predominantly male, while almost a third was classified as having diabetes (Table 1 [Tab. 1]). Cerebral infarction was by far the most common type of stroke followed by cerebral haemorrhage and subarachnoid haemorrhage.
Table 1: Description of the study population: patients with first incident stroke during 2005 to 2007, GEK insurants, stratified for diabetes and sex (cited from Icks A et al. Diabetes Care 2012;35:1868-75 [26])
The mean observation time was 2.66 years (25% and 75% quartiles 1.98 and 3.83). Overall, 1.828 individuals died within the study period of up to 5 years, 470 and 698 men as well as 264 and 396 women with and without diabetes, respectively. The cumulative mortalities including the population at risk are presented in Table 2 [Tab. 2].
Table 2: Crude mortality estimates after first incident stroke, GEK insurants, Germany 2005–2007, stratified for sex and diabetes
(cited from Icks A et al. Diabetes Care 2012;35:1868-75 [26])
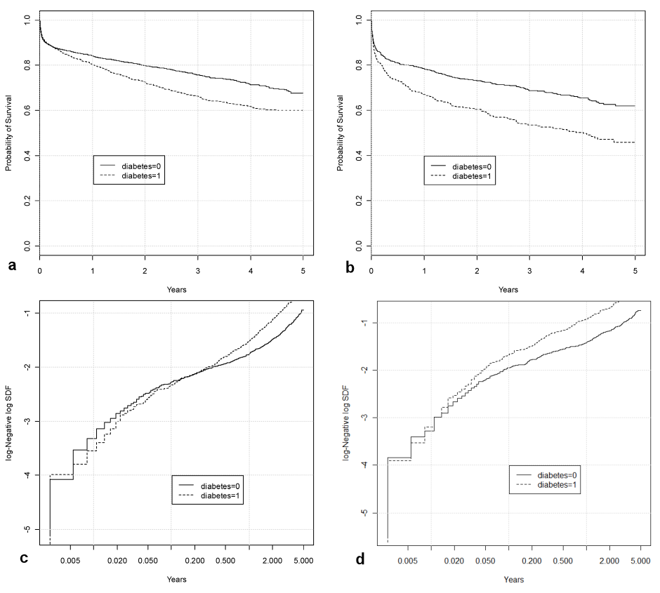
Figure 1 [Fig. 1] shows the Kaplan Meier curves (a, b) as well as the log-log-survival plots (c, d). We present both, since in the log-log-plots, the early period after stroke event can be seen, whereas the Kaplan Meier curves give a better picture of the later period. In men, the crude relative mortality risk due to diabetes was significantly time dependent (p=0.002): in the first month after stroke, diabetic individuals had better survival. But thereafter, mortality risk in diabetic men increased, resulting in a higher survival in non-diabetic men. The curves cross each other after about a quarter year. After about 3 years, the curves seem to become more convergent again, that means that the difference between diabetic and non-diabetic men is no longer visible. A significant time dependency of diabetes on mortality could also be seen in multivariate analysis (p=0.008). Adjusted for age, it yields a significant decreased mortality risk in diabetes within the first month and an increased mortality risk in diabetes between 1 month and 3 years of follow-up which was no longer the case after 3 to 5 years (model 1 in Table 3 [Tab. 3]). After further adjustment for comorbidities, level of care dependency, number of prescribed medications and subtype of stroke, relative risks decreased somewhat but remained significantly increased between 1 and 3 years (model 2 in Table 3 [Tab. 3]).
Table 3: Predictors for mortality after first incident stroke, Cox regression GEK insurants, Germany 2005–2007, stratified for sex (cited from Icks A et al. Diabetes Care 2012;35:1868-75 [26])
Figure 1a+b: Kaplan-Meier estimates of crude survival after first incident stroke, GEK insurants, Germany 2005–2007; a: male; b: female. c+d: Crude log-log survival curves after first incident stroke, GEK insurants, Germany 2005–2007; c: male; d: female.
In women, there is a quite similar pattern. However, time dependency was not statistically significant in crude (p=0.08) as well as in multivariate analysis (p=0.89). The curves do cross only slightly in the first week of follow-up, and the Cox model shows no significant decreased hazard ratio in the first months after stroke. Nevertheless, the relative risk of mortality in the fully adjusted model was significantly increased for diabetic women between 6 months and 1 year as well as between 2 and 3 years with an almost twofold increased risk of diabetic women for the first time interval. Again, we found no significant differences between 3 and 5 years of follow-up.
Increasing age, renal failure (only in men), levels of care dependency, number of prescribed medications and haemorrhage stroke, were positively associated with mortality in the fully adjusted model (model 2, Table 3 [Tab. 3]).
Discussion
In this study based on data of a nationwide health insurance we could analyse survival in patients with incident stroke in Germany over up to 5 years (2005–2009), with a focus on diabetes as a predictor. As expected, we found a high mortality in this population. After 5 years follow up, more than one third of the patients in our cohort had died. Interestingly, the influence of diabetes in our study was significantly time-dependent in men: In the first 30 days after incident stroke, mortality was lower in diabetic than in non-diabetic individuals. Thereafter, there was an increasing trend of diabetes risk during observation time, and after about a quarter year, diabetic individuals had a higher mortality than non-diabetic individuals. After three years, the mortality risk tended to become equal. In women, the pattern was similar, however, there was no statistically significant time dependency. Age, renal failure (only in men), the level of care dependency, the number of prescribed drugs and haemorrhagic stroke were significantly associated with mortality, however, did not alter the association between diabetes and mortality. Our results remained almost unchanged in several sensitivity analyses, e.g. using logistic regression models with the variable log(time) as well as time as a linear predictor (data not shown).
Several limitations have to be considered. (a) In particular over the last years of observation and especially in women, the case numbers are low, leading to a lack of power to detect statistically significant differences between patients with and without diabetes. (b) We cannot exclude misclassification when we define patients with diabetes, because our identification criteria had to be fulfilled within 12 months in the observation period between 2004 and 2007 and not solely before the first stroke. On the other hand, diabetes is often identified for the first time in hospital stays due to typical complications like strokes, and these patients would not be classified as diabetics if we used only the period before the event. However, we performed a sensitivity analysis, defining a person as diabetic when our criteria were fulfilled within the 12 months prior to the first stroke. We found that about 9 of 10 diabetes patients already fulfilled our criteria before their index stroke. Furthermore, results of the mortality analysis remained unchanged. (c) We studied stroke survivors, and the number of fatal strokes may differ among those with and without diabetes. This may be an explanation for the reduced mortality seen among patients with diabetes, within the first 30 days. However, based on data from the German stroke registry as well as from several other countries, it can be assumed that the number of fatal strokes and strokes which are treated outside the hospital are small. About 95% of strokes are hospitalised in clinics and thus identified by our data [22]. (d) Information about clinical variables (e.g. blood glucose, diabetes duration) and patients’ lifestyle (e.g. smoking, physical activities) is not available in the database. However, we included the number of prescribed drugs as well as outpatient diagnoses of relevant comorbidities and the level of care dependency. (e) A translation of our results to other populations should be performed with caution since it is known that differences in morbidity as well as demographic and socioeconomic variables exist between health insurance funds [23], [24]. However, the incidence of stroke in our population was well in line with the incidence of stroke in a well-designed regional register-based study [2], [22], [25]. Further, the population has been used for several analyses regarding comorbidities in diabetes [2], [13], [14].
The main strength of our study is that we were able to analyze a large dataset without selection with respect to diabetic complications that could be followed up to 5 years.
Conclusions
In conclusion, in our German study, based on data of a nationwide health insurance, we found a high mortality in patients with a first stroke. Interestingly, the influence of diabetes was time-dependent in men: In the first about a quarter year after incident stroke, mortality was lower in diabetic than in nondiabetic individuals. Only thereafter, diabetic patients had a higher mortality than non-diabetic patients; after about three years, there was a convergence. In women, the pattern seems to be similar, no significant time-dependency was found. Our observation is in line with findings for mortality in diabetic compared to non-diabetic patients after beginning of renal replacement therapy and amputation. Possible explanations may be differences in the type of stroke, or in earlier and more intensive treatment of distinct cardiovascular risk factors in diabetic patients, in particular men. Patients that survive up to three years after stroke might be healthier, independent of their diabetes status. However, results remain conflicting, and further studies are warranted to confirm and explain the results.
Notes
Publication note
This article is the short version of: Icks A et al. Diabetes Care. 2012 Sep;35(9):1868-75 [26].
Acknowledgements
The project was supported by a grant of the German Ministry of Health. The funders had no role in study design, data collection and analysis, decision to publish, or preparation of the manuscript.
Contributions
Heiner Claessen is the guarantor of this work and, as such, had full access to all the data in the study and takes responsibility for the integrity of the data and the accuracy of the data analysis.
AI initiated the study. AI and FH developed the study protocol. SM provides clinical expertise. FH and HC coordinated the data analysis. HC performed the statistical analysis and wrote the paper. All authors commented on paper drafts.
Competing interests
The authors declare that they have no competing interests.
References
[1] American Diabetes Association. Standards of medical care in diabetes--2011. Diabetes Care. 2011;34 Suppl 1:S11-61. DOI: 10.2337/dc11-S011[2] Icks A, Scheer M, Genz J, Giani G, Glaeske G, Hoffmann F. Stroke in the diabetic and non-diabetic population in Germany. Relative and attributable risks, 2005-2007. J Diab Compl. 2011;25:90-6. DOI: 10.1016/j.jdiacomp.2010.05.002
[3] Almdal T, Scharling H, Jensen JS, Vestergaard H. The Independent Effect of Type 2 Diabetes Mellitus on Ischemic Heart Disease, Stroke, and Death: A Population-Based Study of 13,000 Men and Women with 20 Years of Follow-up. Arch Intern Med. 2004;164:1422-6. DOI: 10.1001/archinte.164.13.1422
[4] Donnan GA, Fisher M, Macleod M, Davis SM. Stroke. Lancet. 2008;371:1612-23. DOI: 10.1016/S0140-6736(08)60694-7
[5] Mulnier HE, Seaman HE, Raleigh VS, Soedamah-Muthu SS, Colhoun HM, Lawrenson RA, De Vries CS. Risk of stroke in people with type 2 diabetes in the UK: a study using the General Practice Research Database. Diabetologia. 2006;49:2859-65. DOI: 10.1007/s00125-006-0493-z
[6] Zhang Y, Galloway JM, Welty TK, Wiebers DO, Whisnant JP, Devereux RB, Kizer JR, Howard BV, Cowan LD, Yeh J, Howard WJ, Wang W, Best L, Lee ET. Incidence and Risk Factors for Stroke in American Indians: The Strong Heart Study. Circulation. 2008;118:1577-84. DOI: 10.1161/CIRCULATIONAHA.108.772285
[7] Benatru I, Rouaud O, Durier J, Contegal F, Couvreur G, Bejot Y, Osseby GV, Ben Salem D, Ricolfi F, Moreau T, Giroud M. Stable stroke incidence rates but improved case-fatality in Dijon, France, from 1985 to 2004. Stroke. 2006;37:1674-9. DOI: 10.1161/01.STR.0000226979.56456.a8
[8] Hart CL, Hole DJ, Smith GD. Comparison of risk factors for stroke incidence and stroke mortality in 20 years of follow-up in men and women in the Renfrew/Paisley study in Scotland. Stroke. 2000;31:1893-6. DOI: 10.1161/01.STR.31.8.1893
[9] Petty GW, Brown RD, Whisnat JP, Sicks JD, O'Fallon WM, Wiebers DO. Survival and recurrence after first cerebral infarction. A population-based study in Rochester, Minnesota, 1975 through 1989. Neurology. 1998;50:208-16. DOI: 10.1212/WNL.50.1.208
[10] Rautio A, Eliasson M, Stegmayr B. Favorable trends in the incidence and outcome in stroke in nondiabetic and diabetic subjects: findings from the Northern Sweden MONICA Stroke Registry in 1985 to 2003. Stroke. 2008;39:3137-44. DOI: 10.1161/STROKEAHA.107.504100
[11] Kamalesh M, Shen J, Eckert GJ. Mortality after 60 days and after 1 year: Long term postischemic stroke mortality in diabetes: a veteran cohort analysis. Stroke. 2008;39:2727-31. DOI: 10.1161/STROKEAHA.108.517441
[12] Winell K, Pääkkönen R, Pietilä A, Reunanen A, Niemi M, Salomaa V. Prognosis of ischaemic stroke is improving similarly in patients with type 2 diabetes as in nondiabetic patients in Finland. Int J Stroke. 2011;6:295-301. DOI: 10.1111/j.1747-4949.2010.00567.x
[13] Hoffmann F, Haastert B, Koch M, Giani G, Glaeske G, Icks A. The effect of diabetes on incidence and mortality in end-stage renal disease in Germany. Nephrol Dial Transplant. 2011;26(5):1634-40. DOI: 10.1093/ndt/gfq609
[14] Icks A, Scheer M, Morbach S, Genz J, Haastert B, Giani G, Glaeske G, Hoffmann F. Time-dependent impact of diabetes on mortality in patients after major lower extremity amputation: Survival in a population-based 5-year cohort in Germany. Diabetes Care. 2011;34(6):1350-4. DOI: 10.2337/dc10-2341
[15] Icks A, Haastert B, Genz J, Giani G, Hoffmann F, Trapp R, Koch M. Time-dependent impact of diabetes on the mortality in patients on renal replacement therapy: A population-based study in Germany, 2002–2009. Diabetes Res Clin Pract. 2011;92(3):380-5. DOI: 10.1016/j.diabres.2011.02.021
[16] Hatano S. Experience from a multicenter stroke register: A preliminary report. Bull World Health Organ. 1976;54:541-53. Available from: http://whqlibdoc.who.int/bulletin/1976/Vol54/Vol54-No5/bulletin_1976_54%285%29_541-553.pdf
[17] Köster I, von Ferber L, Ihle P, Schubert I, Hauner H. The cost burden of diabetes mellitus: the evidence from Germany--the CoDiM study. Diabetologia. 2006;49:1498-504. DOI: 10.1007/s00125-006-0277-5
[18] Grambsch P, Therneau T. Proportional hazards tests and diagnostics based on weighted residuals. Biometrika. 1994;81(3):515-26. DOI: 10.1093/biomet/81.3.515
[19] Machin D, Cheung YB, Parmar MKB. Survival Analysis: A Practical Approach. 2nd ed. Chichester: John Wiley & Sons; 2006.
[20] Vandenbroucke JP, von Elm E, Altman DG, Gøtzsche PC, Mulrow CD, Pocock SJ, Poole C, Schlesselman JJ, Egger M; STROBE Initiative. Strengthening the Reporting of Observational Studies in Epidemiology (STROBE): explanation and elaboration. PLoS Med. 2007;4(10):e297. DOI: 10.1371/journal.pmed.0040297
[21] Arbeitsgruppe Erhebung und Nutzung von Sekundärdaten der Deutschen Gesellschaft für Sozialmedizin und Prävention; Arbeitsgruppe Epidemiologische Methoden der Deutschen Gesellschaft für Epidemiologie; Deutschen Gesellschaft für Medizinische Informatik, Biometrie und Epidemiologie; Deutschen Gesellschaft für Sozialmedizin und Prävention. GPS - Gute Praxis Sekundärdatenanalyse: Revision nach grundlegender Überarbeitung [Good practice of secondary data analysis, first revision]. Gesundheitswesen. 2008;70:54-60. DOI: 10.1055/s-2007-1022529
[22] Kolominsky-Rabas PL, Weber M, Gefeller O, Neundoerfer B, Heuschmann PU. Epidemiology of ischemic stroke subtypes according to TOAST-criteria: incidence, recurrence, and long-term survival in ischemic subtypes: a population-based study. Stroke. 2001;32:2735-40. DOI: 10.1161/hs1201.100209
[23] Hoffmann F, Icks A. Unterschiede in der Versichertenstruktur von Krankenkassen und deren Auswirkungen üur die Versorgungsforschung: Ergebnisse des Bertelsmann-Gesundheitsmonitors [Structural differences between health insurance funds and their impact on health services research: results from the Bertelsmann Health-Care Monitor]. Gesundheitswesen. 2012 May;74(5):291-7. DOI: 10.1055/s-0031-1275711
[24] Hoffmann F, Icks A. Diabetes prevalence based on health insurance claims: large differences between companies. Diabet Med. 2011;28(7):919-23. DOI: 10.1111/j.1464-5491.2011.03305.x
[25] Kolominsky-Rabas PL, Sarti C, Heuschmann PU, Graf C, Siemonsen S, Neundoerfer B, Katalinic A, Lang E, Gassmann KG, von Stockert TR. A prospective community-based study of stroke in Germany--the Erlangen Stroke Project (ESPro): incidence and case fatality at 1, 3, and 12 months. Stroke. 1998;29(12):2501-6. DOI: 10.1161/01.STR.29.12.2501
[26] Icks A, Claessen H, Morbach S, Glaeske G, Hoffmann F. Time-dependent impact of diabetes on mortality in patients with stroke: survival up to 5 years in a health insurance population cohort in Germany. Diabetes Care. 2012 Sep;35(9):1868-75. DOI: 10.2337/dc11-2159



