[Es gibt kein „zu klein“ für häufige arbeitsplatzbasierte Assessments: Unterschiede zwischen großen und kleinen Weiterbildungsstätten in der Anästhesie beim Einsatz einer mobilen App zur Bewertung von EPAs]
Tobias Tessmann 1Adrian P. Marty 2
Daniel Stricker 3
Sören Huwendiek 3
Jan Breckwoldt 1
1 Universitätsspital Zürich, Institut für Anästhesiologie, Zürich, Schweiz
2 Universitätsklinik Balgrist, Abteilung für Anästhesiologie, Intensivmedizin und Schmerztherapie, Zürich, Schweiz
3 Universität Bern, Institut für medizinische Ausbildung, Bern, Schweiz
Zusammenfassung
Hintergrund: Kompetenzbasierte Weiterbildung erfordert häufige arbeitsplatzbasierte Assessments (engl. Workplace-based Assessments, WBAs) von anvertraubaren professionellen Tätigkeiten (engl. Entrustable Professional Activities, EPAs). Mobile Apps erhöhen die Effizienz, allerdings ist es nicht bekannt, wie viele Assessments für zuverlässige Bewertungen erforderlich sind und ob das Konzept in Facharzt-Weiterbildungsstätten jeder Größe umgesetzt werden kann.
Methoden: Über 5 Monate wurden mit einer Smartphone-App 10 verschiedene EPAs im klinischen Alltag in Schweizer Anästhesieabteilungen beurteilt. Die Daten von großen und kleineren Weiterbildungsstätten wurden verglichen. Mittels Generalisierbarkeitstheorie wurde eine Mindestanzahl an Assessments berechnet, die für zuverlässige Beurteilungen erforderlich sind.
Ergebnisse: In 28 Weiterbildungsstätten wurden 3936 Assessments von 306 Supervidierenden für 295 Trainees erfasst. Die mediane Anzahl an Assessments pro Trainee lag bei 8, mit einem Median von 4 verschiedenen EPAs, die von 3 verschiedenen Supervidierenden beurteilt wurden. Wir fanden keine statistisch signifikanten Unterschiede zwischen großen und kleinen Weiterbildungsstätten in Bezug auf die Anzahl der Assessments pro Trainee, pro Supervisor*in, pro EPA, die Übereinstimmung zwischen Supervidierenden und Trainees oder die Anzahl der angeregten Feedbackprozesse. Der durchschnittliche Grad an Supervision (engl. level of supervision, LoS, Skala von 1 bis 5) lag bei größeren Programmen bei 3,2 (SD 0,5) im Vergleich zu 2,7 (SD 0,4) (p<0,05). Um einen g-Koeffizienten >0,7 zu erreichen, musste mindestens eine zufällige Auswahl von 3 verschiedenen EPAs bewertet werden, wobei jede EPA mindestens viermal von vier verschiedenen Supervidierenden bewertet werden musste, was insgesamt 12 Assessments ergab.
Schlussfolgerung: Häufige WBAs von EPAs waren sowohl in großen als auch in kleinen Weiterbildungsstätten durchführbar. Wir fanden keine signifikanten Unterschiede in der Anzahl der durchgeführten Assessments. Die für einen g-Koeffizienten > 0,7 erforderliche Mindestanzahl von Assessments war in großen und kleinen Weiterbildungsstätten erreichbar.
Schlüsselwörter
kompetenzbasierte Weiterbildung, CBME, arbeitsplatzbasierte Assessments, WBA, anvertraubare professionelle Tätigkeiten, EPA, entrustment, Feedback, Entscheidungsfindung, Facharztweiterbildung, Generalisierbarkeits-Theorie, g-Theorie, Reliabilität, kleine Unternehmen, KMU, Smartphone, mobile App
1. Einleitung
1.1. Kompetenzbasierte medizinische Ausbildung (engl. Competency-based medical education, CBME)
CBME und ihre Umsetzung durch das Konzept der „Anvertraubaren professionellen Tätigkeiten“ (engl. Entrustable Professional Activities, EPAs) findet in der medizinischen Weiterbildung zunehmend Anklang [1], [2]. Eine EPA kann als ein Rahmen gesehen werden, durch den eine oder mehrere Kompetenzen während umschriebener, spezifischer Aufgaben in der klinischen Praxis beobachtet werden können [3], [4]. Die Summe aller EPAs eines Fachgebiets repräsentiert dessen gesamtes Curriculum und damit alle geforderten Kompetenzen zu einem bestimmten Zeitpunkt der Weiterbildung. Wenn sie in einem Portfolio kombiniert werden, können bestimmte Gruppen komplementärer EPAs wichtige Entwicklungsstufen [5] in einem ganzheitlichen, longitudinalen Ansatz abbilden. Das erstmals von Ten Cate 2005 [6] veröffentlichte Konzept der EPAs ergänzte und erleichterte nicht nur den Aufstieg der CBME, sondern führte auch den wichtigen Aspekt des Vertrauens und der expliziten Entscheidung ein, jemandem zukünftig etwas anzuvertrauen (engl. entrustment). Es ist erwiesen, dass die Verwendung von Entrustment-Supervision-Skalen anstelle von numerischen Skalen eine größere klinische Relevanz, eine bessere Inter-Rater-Reliabilität und eine einfachere Anwendbarkeit aufweist [7], [8]. Sie liefern keine einfache Schulnote, sondern eine Antwort auf die Frage: Wie viel Aufsicht wird der/die Trainee in einer ähnlichen Situation beim nächsten Mal benötigen?
Zur Beurteilung der EPA wird eine Palette verschiedener arbeitsplatzbezogener Assessments (engl. workplace-based assessment, WBA) eingesetzt. Jedes WBA sollte nicht nur als Instrument zur Bewertung des aktuellen Status der Trainees dienen, sondern auch ihre zukünftige Entwicklung durch häufiges Feedback unterstützen [9]. Dieses Konzept des „Assessments für das Lernen“ [10] wurde als eine der Schlüsselkomponenten eines programmatic assessments eingeführt. Darüber hinaus sollten die Ergebnisse dieser häufigen WBAs nicht einzeln für gravierende Entscheidungen (engl. high-stake decisions) wie das „Bestehen/Nichtbestehen“ eines Weiterbildungsjahres verwendet werden. Vielmehr sollten diese Entscheidungen in so genannten Kompetenzausschüssen auf der Grundlage von vielen Daten aus verschiedenen Quellen [11], [12], [13], [14] getroffen werden.
Um häufigere und kürzere Assessments durchführen zu können, wurden mobile Apps entwickelt [15], [16], [17], [18], [19], [20], [21], [22], die den Zeitaufwand für ein einzelnes Assessment erheblich reduzieren [23]. Dennoch ist eine beträchtliche Anzahl an Assessments erforderlich, um das Kompetenzniveau eines/einer Trainee zuverlässig einschätzen zu können. Reliabilität und Validität eines Instruments hängen eng mit seinem Design und seiner Verwendung im entsprechenden Kontext zusammen [24], [25], [26], [27], [28], [29]. Unabhängig davon, zu welchem Zweck ein Assessment durchgeführt wird und zu welchen Entscheidungen seine Ergebnisse beitragen, müssen diese auf zuverlässigen, transparenten und korrekten Informationen basieren.
Die Verwendung von Entrustment-Supervision-Skalen ist nicht nur mit einem geringeren Arbeitsaufwand für die Bewertenden verbunden, sondern reduziert auch die erforderliche Anzahl an Assessments um etwa 50% für Mini-CEX [7]. Die publizierten Mindestzahlen anderer WBA-Instrumente liegen jedoch in einem weiten Bereich [24], [29], [30], [31], [32], [33], und die Mindestanzahl an Assessments für ein App-basiertes WBA von EPAs ist völlig offen. Die Mindestanzahl der Assessments könnte von einer Vielzahl von Faktoren abhängen, z. B. von der Anzahl der verschiedenen Prüfenden, der Interaktion zwischen Supervidierenden und Trainees oder der Größe einer Weiterbildungsstätte [4], [8], [25], [34].
1.2. Unterschiede zwischen großen und kleinen Weiterbildungsstätten
Kleinere Einrichtungen des Gesundheitswesens spielen eine entscheidende Rolle für einen Zugang aller Menschen zur Gesundheitsversorgung weltweit, insbesondere in ländlichen und städtischen unterversorgten Gebieten [35], [36]. Entsprechend ist eine qualitativ hochwertige medizinische Weiterbildung in kleineren Einrichtungen unabdingbar. Neben ihren strukturellen Bedingungen (Anzahl der Trainees und Supervidierenden, Fallschwere und -volumen, verfügbare Ressourcen) [37], unterscheiden sich kleinere Einrichtungen in ihrer Ausbildungskultur [38]. Es ist aber keine Frage, eines „besser oder schlechter“, sondern der unterschiedlichen Möglichkeiten:
Während eine Untersuchung feststellte, dass große Weiterbildungsstätten von der besseren Infrastruktur ihrer Einrichtungen profitieren [39], berichteten andere Autoren über keine signifikanten Unterschiede [40], oder stellten gar fest, dass kleinere Einrichtungen bessere Möglichkeiten zur Entwicklung klinischer Fertigkeiten, eine bessere Haltung der Supervidierenden und ein höheres Gefühl der Selbstwirksamkeit in der medizinischen Basisausbildung bieten [41], [42], [43]. Die stärker spezialisierte Versorgung in großen Einrichtungen wird durch einen generalistischeren und ganzheitlicheren Ansatz in kleineren Einrichtungen aufgewogen. Darüber hinaus bieten kleinere Weiterbildungsstätten möglicherweise bessere Chancen für die Entwicklung nicht-klinischer Fähigkeiten wie Belastbarkeit und Autonomie, sind aber gleichzeitig diesbezüglich anspruchsvoller [44]. Die vertrautere Atmosphäre, länger anhaltende Mentoring-Beziehungen und eine geringere Personalfluktuation [45] könnten sich positiv auf die Qualität der Ausbildung auswirken [46].
1.3. Analogien außerhalb des Gesundheitswesens
Außerhalb des Gesundheitswesens hat sich gezeigt, dass kleine und mittlere Unternehmen (KMU) ihre eigenen Bedürfnisse, Schwierigkeiten und Merkmale in Bezug auf die arbeitsplatzbezogene Ausbildung haben, was zu einer spezifischen Ausbildungskultur führt [47], [48], [49], [50]. Sie kann in zweierlei Hinsicht charakterisiert werden: Sie ist eher eine integrierte als eine formalisierte Ausbildung und findet in einer Lernumgebung statt, die eher fördert als einschränkt [51], [52]. Wenn die unterschiedliche Ausbildungskultur in KMU aufgenommen wird, führt das zu besseren Ergebnissen [53], [54]. In einem Bericht heißt es: „Strategien, die der Lernweise eines kleinen Unternehmens entsprechen, sind erfolgreicher als formale Schulungen“ [55].
1.4. Forschungsfrage
Häufige WBAs von EPAs in Weiterbildungsstätten unterschiedlicher Größe wurden bisher nicht untersucht. Erkenntnisse über die Unterschiede und Gemeinsamkeiten zwischen kleineren und größeren Weiterbildungsstätten könnten helfen zu klären, ob häufig durchgeführte Assessments zuverlässig über das ganze Spektrum der Weiterbildungsstätten angewandt werden können.
Wir haben daher die Nutzung und die Ergebnisse des Assessments von EPAs mit einer mobilen App zwischen großen und kleinen Weiterbildungsstätten für Anästhesiologie verglichen. Zusätzlich haben wir eine Reliabilitätsanalyse durchgeführt, um die minimal erforderliche Anzahl von Assessments und Supervidierenden für zuverlässige Bewertungen zu ermitteln.
2. Methoden
2.1. Teilnehmer und Kategorisierung der Weiterbildungsstätten
Die Ausbildungskommission der Schweizerischen Gesellschaft für Anästhesiologie (SGAR-SSAR) lud alle Schweizer Anästhesieabteilungen mit Weiterbildungsstätten ein, sich (kostenlos) zu beteiligen. Während 5 Monaten des Jahres 2021 wurden alle mittels der mobilen App aufgezeichneten Assessments analysiert. Abteilungen mit Weiterbildungsberechtigung für 3,5 oder 3 Jahren (nationale Kategorien A1 und A2) definierten wir als „große Weiterbildungsstätte“ und solche für 1 oder 2 Jahren (nationale Kategorien C und B) als „kleine Weiterbildungsstätte“. Die großen Abteilungen verfügen über einen Lehrkörper von mehr als 50 Personen und gehören zu Spitälern, die in einer Vielzahl von Fachgebieten eine Maximalversorgung anbieten. Die kleineren Abteilungen repräsentieren das weite Spektrum der Grundversorgung und weisen die meisten der für die obige Klassifizierung als “klein” verwendeten Merkmale auf [37]. Für den Abschluss der Facharztweiterbildung ist in der Schweiz eine Mindestzeit von einem Jahr in einer „kleinen“ Einrichtung erforderlich.
2.2. Mobile Smartphone-App und EPAs
Die Smartphone-App „prEPAred“ (precisionED Ltd, Wollerau, Schweiz) ermöglicht die Bewertung von EPAs nahezu in Echtzeit mit minimaler Unterbrechung des Arbeitsablaufs [23]. Der/die Trainee initiiert den Prozess, indem die durchgeführte EPA ausgewählt wird. Anschließend bewerten sowohl der/die Trainee als auch der/die Supervisor*in unabhängig voneinander die Komplexität der EPA („einfach“ vs. „komplex“) sowie den eingeschätzten Grad an erforderlicher Supervision (engl. level of supervision, LoS) für einen gleichgelagerten Fall in der Zukunft. Der Vergleich der Bewertungen regt dann ein Feedbackgespräch an, das optional auch durch strukturierte Feedbackanweisungen von der App geleitet werden kann. Jedes Assessment wird im ePortfolio des/der Trainee gespeichert, das auch mit den Supervidierenden geteilt werden kann [23].
Die Einführung der prEPAred-App wurde mit Informationsmaterial wie Lehrvideos über CBME, EPAs und die App begleitet.
Für den Studien-Zeitraum verwendeten wir zehn gängige EPAs (siehe Tabelle 1 [Tab. 1], linke Spalte), die weitgehend den Katalog des ersten bis zweiten Jahres des nationalen Weiterbildungscurriculums der Anästhesie [56] abbilden. Dennoch stand der gesamte EPA-Katalog in der App zur Auswahl (um den Trainees und Supervidierenden den größten Nutzen für die individuelle Ausbildung zu bieten). Die Level of Supervision reichten von 1 (=nur beobachten) bis 5 (=andere supervidieren) [57], [58], [59], wie in Tabelle 2 [Tab. 2] dargestellt.
Tabelle 1: Einzelne EPAs mit der Anzahl n Assessments und den durchschnittlichen Bewertungen pro Kategorie, in absteigender Reihenfolge der Gesamtanzahl
Tabelle 2: Beschreibung der Entrustment-Supervision-Skala
2.3. Statistik und G-Theorie-Modell
Als primärer Endpunkt wurde die Anzahl der Assessments pro Trainee und pro Supervisor*in verglichen. Sekundäre Endpunkte waren Unterschiede für die einzelnen bewerteten EPAs, die jeweiligen Bewertungen (erforderliche LoS gemäss Supervisor*in), die Übereinstimmung im LoS von Trainee und Supervidierenden, die Häufigkeit des durch die Bewertung angeregten Feedbacks und schließlich eine Reliabilitätsanalyse, die die minimal erforderliche Anzahl von Assessments und Supervidierenden angibt, um zuverlässige Bewertungen eines/einer Trainee in einem theoretischen Modell zu erzielen (unter Verwendung der G-Theorie und D-Studien).
Für den allgemeinen Vergleich der Bewertungen von Supervidierenden größerer und kleinerer Weiterbildungsstätten wurden Wilcoxon-U-Tests durchgeführt. Bei Mehrfachtests wurde eine Bonferroni-Korrektur des Alpha-Fehlers vorgenommen.
Die G-Theorie wird routinemäßig für die Evaluation von Bewertungsinstrumenten verwendet, indem versucht wird, die Varianzbeträge für einzelne Facetten und ihre Wechselwirkungen zu quantifizieren und zuzuordnen [27], [29].
Um einen ausgewogenen Datensatz für die Berechnung der G-Theorie zu erhalten, wählten wir aus allen möglichen Trainee/Supervisor*in-Kombinationen eine Stichprobe von 20 Trainees aus, die jeweils 3 EPAs mit 4 Assessments durch 4 verschiedene Supervidierende abgeschlossen hatten. Diese Entscheidung wurde a priori für die statistische Analyse getroffen, basierend auf den Literaturergebnissen bezüglich der Mindestanzahl für ähnliche Beurteilungsinstrumente [29], [30], [31], [32], [33]. 16 der 20 Trainees wurden in großen Weiterbildungsstätten ausgebildet, die anderen 4 in kleinen Weiterbildungsstätten, was proportional die Gesamtstichprobe widerspiegelt.
Wir berechneten den Einfluss der einzelnen EPA, der Bewertung (erforderliche LoS gemäss Supervisor*in) und der Weiterbildungsstätte auf die Varianz der Bewertungen der Trainees. Das Modell der G-Theorie lautete: EPA x Bewertung x (Trainee : Weiterbildungsstätte).
Die jeweiligen Varianzkomponenten wurden in Entscheidungs-Studien (D-Studien) verwendet, um die minimale Anzahl von Assessments bzw. Supervidierenden zu bestimmen.
Eine Generalisierbarkeits-Studie (EPA x Assessment x Trainee) und D-Studien wurden auch separat für größere und kleinere Weiterbildungsstätten berechnet, um sie miteinander und mit der Gesamtberechnung zu vergleichen. Zur Kontrolle und Quantifizierung möglicher Unterschiede und Interaktionseffekte wurde eine dreifaktorielle Varianzanalyse mit teilweiser Messwiederholung mit der Kategorie der Weiterbildungsstätte (groß vs. klein) als Faktor zwischen den Gruppen und EPA (3 Stufen) sowie Supervisor*in (4 Stufen) als Faktoren innerhalb der Trainees durchgeführt. Die abhängige Variable war der LoS der Supervidierenden. Nur die 20 Trainees, die für die Analyse der g-Studie in Frage kamen, wurden für diese Analyse berücksichtigt.
G-Theorie und D-Studien wurden mit G_String A Windows Wrapper for urGENOVA [60] berechnet. Alle anderen statistischen Berechnungen wurden mit SPSS für Windows Version 28 (IBM, Armonk, NY, USA) durchgeführt.
2.4. Datensicherheit und Ethik
Aufgrund des strengen Datenschutzes der precisionED AG und um Bedenken bei der Teilnahme zu vermeiden, wurden keine weiteren Daten (z.B. Alter, Geschlecht, Ausbildungsjahre) erhoben. Die Studie wurde von der Ethik-Kommission des Kantons Zürich unter BASEC-Nr. Req-2019-00242 (21. März 2019) freigegeben.
3. Ergebnisse
3.1. Deskriptive Zusammenfassung der Daten
Zwischen dem 1. April und dem 31. August 2021 nutzten 306 Supervidierende und 295 Trainees die prEPAred-App, um 3936 Assessments zu erfassen. Wir schlossen 93 unvollständige Assessments (durch Trainee und Supervisor*in, 2,3% der Gesamtstichprobe) im Vorfeld aus dem Datensatz aus. Außerdem sowie 197 teilweise unvollständige Assessments (entweder durch Trainee oder Supervisor*in, 4,5% der Gesamtstichprobe) von den jeweiligen Analysen ausgeschlossen.
Insgesamt nahmen 28 der 53 Weiterbildungsstätten (52,8%) teil, davon 15 große und 13 kleine. Rund drei Viertel der Supervidierenden und Trainees arbeiteten in großen Programmen und dementsprechend wurden dort auch drei Viertel aller Assessments erfasst.
Von 722 registrierten Weiterbildungsassistent*innen in Anästhesie in der Schweiz im Jahr 2021 [61], nahmen 41% an der Studie teil. In den an der Studie teilnehmenden Weiterbildungsstätten waren 496 gemeldet, was einer Teilnahmequote von 69% entspricht (58% in großen, 78% in kleinen Weiterbildungsstätten).
Die durchschnittliche Anzahl der Assessments pro Trainee betrug 8, die durchschnittliche Anzahl unterschiedlicher EPAs 4. Im Durchschnitt wurde ein*e Trainee von 3 verschiedenen Supervidierenden beurteilt. In 2261 (57 %) aller Assessments wurde ein Feedback-Prozess begonnen und in 2165 (96 %) davon wurde ein Lernziel dokumentiert (siehe Tabelle 3 [Tab. 3]).
Tabelle 3: Anzahl der Assessments, Trainees, Supervidierenden und jeweilige Durchschnittswerte pro Kategorie
3.2. Vergleich der Ergebnisse von großen und kleinen Weiterbildungsstätten
Insgesamt konnten wir keine relevanten Unterschiede zwischen großen und kleinen Weiterbildungsstätten feststellen. Insbesondere fanden wir keinen signifikanten Unterschied bei der Anzahl der Assessments, der Trainees, der Supervidierenden, der durchschnittlichen Anzahl der Supervidierenden pro Trainee, der durchschnittlichen Anzahl der Assessments pro Trainee oder pro Supervisor*in oder der Häufigkeit des angeregten Feedbacks (siehe Tabelle 3 [Tab. 3]). Wir fanden auch keine statistisch signifikanten Unterschiede in der Übereinstimmung zwischen Supervidierenden und Trainees hinsichtlich des notwendigen LoS oder der Komplexität der EPA. Außerdem war die Verteilung der einzelnen EPAs zwischen den Gruppen ähnlich (siehe Tabelle 1 [Tab. 1]), ebenso wie die durchschnittliche Bewertung der Komplexität.
Ein statistischer Unterschied (p<0,01) war nachweisbar für die durchschnittlichen LoS-Bewertungen der Supervidierenden, die in großen Programmen für fast alle EPAs durchschnittlich 0,5 Punkte höher ausfielen. Ein weiterer signifikanter Unterschied zwischen den Gruppen war die höhere Anzahl „fester Paare“ in kleineren Weiterbildungsstätten, vgl. Abschnitt 3.4.
3.3. Details zu den EPAs und den jeweiligen Bewertungen
Die „Einleitung der Anästhesie“ und die „endotracheale Intubation“ waren die beiden am häufigsten bewerteten EPAs und machten ein Drittel aller Assessments aus. Die übrigen Assessments verteilten sich gleichmäßig auf die anderen EPAs (vgl. Tabelle 1 [Tab. 1]).
Es gab keine relevanten Unterschiede in den LoS-Bewertungen zwischen den einzelnen EPAs, mit einem Gesamtdurchschnitt von 3,11 (SD 0,32), d.h. es ist eine indirekte Supervision erforderlich. Der von den Trainees selbst eingeschätzte LoS war für alle EPAs etwas niedriger als die Bewertungen der Supervidierenden, aber es konnte kein statistisch signifikanter Unterschied nachgewiesen werden. Das Gleiche gilt für die Bewertung der Komplexität, wobei im Mittel etwa ein Drittel aller bewerteten Ereignisse als komplex eingestuft wurde.
3.4. „Feste Paare“ und „Enthusiasten“
In beiden Größenkategorien fanden wir feste Paare (d. h. ein Trainee, der/die mit dem/der gleichen Supervisor*in für 4 oder mehr Assessments zusammenarbeitete). Von diesen 317 Paaren arbeiteten 250 (22,4% von 1116) bzw. 67 (38,3% von 175) in großen bzw. kleinen Weiterbildungsstätten. Der Unterschied war statistisch signifikant (Chi2(1)=20,604, p<0,001). Auf diese Paare entfielen 1843 (46,8% der Gesamtzahl) aller Assessments: 1381 (44,7%) in großen und 462 (52,7%) in kleinen Weiterbildungsstätten (Chi2(1)=24,68; p<0,001).
Bei den Trainees und den Supervidierenden variierte die Anzahl der Assessments stark, wobei einzelne Personen mehr als 200 Assessments abgegeben haben (2 Supervidierende und 1 Trainee aus großen und 1 bzw. 2 aus kleinen Weiterbildungsstätten). 3 der 15 großen und 5 der 13 kleinen Weiterbildungsstätten gaben nur wenige Assessments ab (<34 Assessments).
3.5. G-Theorie
Die Ergebnisse für die G-Theorie-Modelle sind in Tabelle 4 [Tab. 4] dargestellt. Sie ergaben ein robustes Ergebnis von phi>0,7 für die gewählte Kombination von Assessments/EPAs/Supervidierenden, während 21% der Varianz der interessierenden Facette (dem Trainee) zugeschrieben wurden, eingebunden in die Weiterbildungsstätten (wie vom Studiendesign vorgegeben). Für die 20 Trainees, die in der G-Theorie-Analyse eingeschlossen waren, ergab die 3-Wege-ANOVA keine signifikanten Unterschiede in den LoS-Bewertungen zwischen Weiterbildungsstätten, EPAs oder Supervidierenden, und es gab auch keine signifikanten Interaktionen.
Tabelle 4: Ergebnisse der G-Theorie für 3 EPAs, mit je 4 Assessments von 4 verschiedenen Supervidierenden
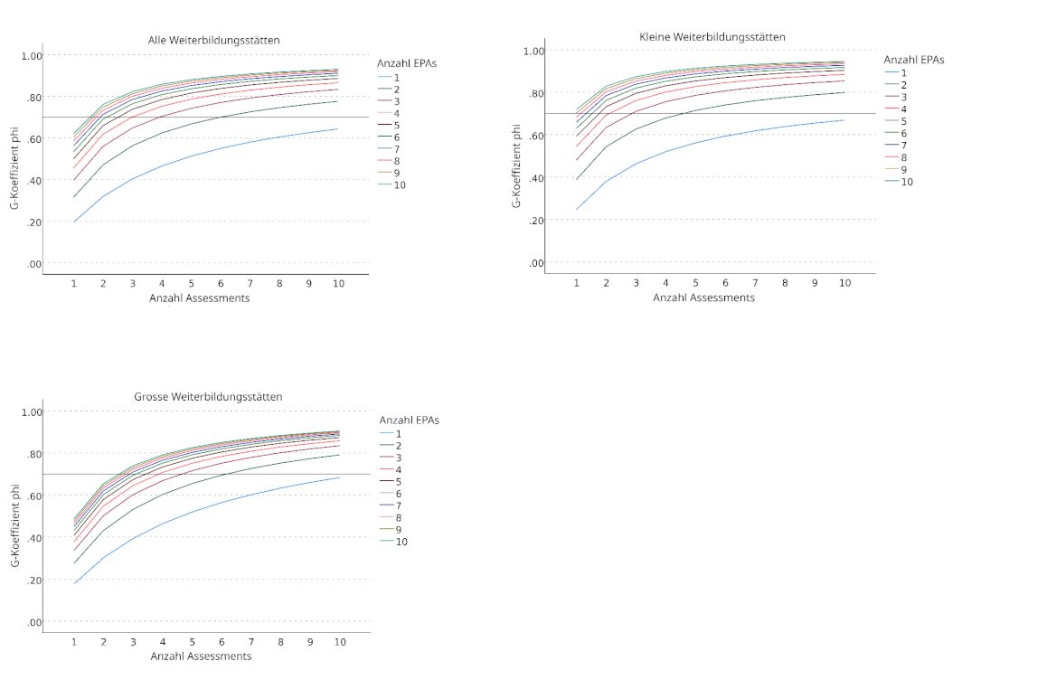
Alle entsprechenden D-Studien sind in Abbildung 1 [Abb. 1] grafisch dargestellt. Das Hauptergebnis ist in Abbildung 1 [Abb. 1] zu finden (dunkelrote Linie): Theoretisch zufriedenstellende (Phi-Koeffizient von 0,7) Assessments sind mit einer zufälligen Auswahl von mindestens 3 verschiedenen EPAs aus 10 zu erwarten, wobei jedes EPA mindestens viermal von vier verschiedenen Supervidierenden bewertet wird, was insgesamt 12 Bewertungen ergibt.
Abbildung 1: D-Studien zu Tabelle 4
Ein Phi-Koeffizient von 0,8, der als außerordentlich robustes Messinstrument interpretiert werden kann, ist zu erwarten, wenn zufällige Sätze von 6 EPAs mit 4 verschiedenen Supervidierenden (wiederum insgesamt 12 Bewertungen) bewertet werden.
4. Diskussion
4.1. Vergleich zwischen großen und kleinen Weiterbildungsstätten
Insgesamt stellten wir eine breite Beteiligung fest, die zu einer ausreichenden Anzahl an Assessments sowohl in großen als auch in kleinen Weiterbildungsstätten führte. Bedenkt man die freiwillige Teilnahme, bestand ein erhebliches Interesse an dem Thema, was sich in einer Teilnahmequote von 69% widerspiegelt, die in kleineren Programmen noch höher war als in großen Programmen. Dies deutet auf eine hohe Motivation hin, Teil von neuen Entwicklungen in der Weiterbildung zu sein, und bestätigt frühere Ergebnisse [17], [23], [62]. Die wenigen unvollständigen Datensätze könnten auf eine einfache Nutzbarkeit der App in der täglichen Routine hinweisen.
Im Gegensatz zu früheren Ergebnissen sowohl in der medizinischen Weiterbildung als auch außerhalb des Gesundheitswesens fanden wir keinen relevanten Unterschied zwischen den beiden Größen der Weiterbildungsstätten. Dies gilt für die Anzahl der erfassten Assessments, die angestoßenen Feedback-Prozesse und die ähnliche Verteilung über Trainees wie EPAs, und zeigt auf, dass häufige arbeitsplatzbezogene Assessments unter Verwendung von EPAs in beiden Lern-Umfeldern umsetzbar sind.
Die signifikant höheren LoS-Bewertungen in großen Weiterbildungsstätten (die auf einen geringeren Bedarf an Supervision hinweisen) können auf eine Vielzahl von Gründen zurückzuführen sein: Unterschiede in der täglichen Routine, im Fachwissen oder der Ausbildungsmöglichkeiten. In großen Einrichtungen mit länger andauernden und risikoreicheren Eingriffen beispielsweise ist die arterielle Kanülierung wahrscheinlich eher Routine. Dies könnte erklären, warum der LoS für diese EPA um 0,7 Punkte höher war.
Andererseits könnte es in kleinen Weiterbildungsstätten eine stärkere „educational alliance“ [63], [64] zwischen Supervidierenden und Trainees geben, mit einer höheren Häufigkeit von 1-zu-1-Betreuung [41], [43] und einer geringeren Personalfluktuation [45]. Unser Ergebnis, dass die Anzahl der festen Paare und der von ihnen durchgeführten Assessments in kleinen Weiterbildungsstätten signifikant höher ist als in großen, unterstützt diese Annahme zusätzlich. Schließlich könnte dies, wie in anderen Branchen außerhalb des Gesundheitswesens [49], zu einer anderen Ausbildungskultur in kleinen Weiterbildungsstätten führen, in der die Wahrnehmung der erforderlichen und gebotenen Supervision höher sein könnte. Dies könnte die Skala des LoS verschieben und zu einer engeren Supervision in vergleichbaren Fällen einer EPA führen. Letztendlich ist jede individuelle Bewertung des LoS durch Supervidierende subjektiv und von der interpersonellen Beziehung beeinflusst [65], [66], [67].
4.2. Übereinstimmung im LoS
In einer früheren Studie, in der die prEPAred-App [23] verwendet wurde, gab es in 35,6% der Assessments eine Divergenz der Bewertung des LoS zwischen Trainees und Supervidierenden. Wir bestätigten, dies in unserer Studie mit 33% der Fälle, und es zeigte sich auch die gleiche Tendenz, dass Trainees sich selbst etwas weniger selbständig einschätzten als ihre Supervidierenden.
4.3. Erforderliche Anzahl von Assessments und Supervidierenden
Wir konnten errechnen, dass in der Theorie mindestens 12 Assessments von 3 verschiedene EPAs durch 4 unterschiedliche Supervidierende für eine reliable Bewertung notwendig sind. Die G-Koeffizienten >0,7 entsprechen dabei den Empfehlungen für Assessments wie OSCEs oder andere hochwertige Assessments [26], [68]. Wir beobachteten sogar höhere phi-Werte für kleine Weiterbildungsstätten, was darauf hindeutet, dass kleinere zu größeren hier mindestens vergleichbar sind. Die in dieser Studie verwendeten App-basierte Assessments lieferten also zuverlässige Ergebnisse für Kombinationen von je 3 verwendeten 10 EPAs. Bei routinemäßiger Anwendung ist es zu erwarten, dass die meisten Trainees diese Zahlen schnell erreichen, da sie bis zum Ende des zweiten Weiterbildungsjahres beherrscht werden sollten [56]. Ein typisches Portfolio wird also eine Vielzahl von Assessments enthalten und unterstützt die Entscheidung der Supervidierenden, welche klinischen Aufgaben den Weiterzubildenden anvertraut werden können. Es ist anzunehmen, dass häufige Beobachtungen und Feedback während der täglichen Routine die Weiterbildung verbessern, wie es auch für ein „programmatic assessment“ vorgesehen ist. Wir können nun belegen, dass die Empfehlung solcher häufigen Assessments unabhängig der Größe der Weiterbildungsstätte möglich ist.
4.4. Limitationen
Eine mögliche Quelle für Verzerrungen ist die freiwillige Teilnahme sowohl der Supervidierenden als auch der Trainees, was zu einer nicht-repräsentativen Stichprobe für beide Gruppen führen könnte. Darüber hinaus bleibt offen, welche praktische Bedeutung diese Bewertung zufälliger Kombinationen von drei verschiedenen EPAs (aus 10) haben kann. Nichtsdestotrotz könnten diese Daten Erkenntnisse für die künftige Umsetzung liefern. Die Übertragbarkeit der Ergebnisse auf obligatorische Bedingungen zu untersuchen, ist entscheidend.
Daten über potenzielle Einflussfaktoren wie Geschlecht, Alter, Ausbildungsjahre usw. waren aufgrund der strengen Datenschutzrichtlinien, wie bereits erwähnt, nicht verfügbar. Da diese Faktoren wahrscheinlich einen Einfluss auf die Bildungsprozesse haben, hätten die Ergebnisse anders ausfallen können, wenn sie um diese Faktoren korrigiert worden wären. In dieser Studie wurden jedoch Weiterbildungsstätten in zwei Gruppen verglichen, und die Verteilung der Störfaktoren dürfte ähnlich sein, zumal Rotationen in kleine und große Weiterbildungsstätten in der Schweizer Anästhesie-Weiterbildung obligatorisch sind.
5. Schlussfolgerung
Häufige WBAs von EPAs mit einer mobilen Smartphone-App erwiesen sich sowohl in großen als auch in kleinen Weiterbildungsstätten als zuverlässig. Wir fanden keine relevanten Unterschiede zwischen den Gruppen hinsichtlich der Anzahl und Verteilung der durchgeführten Assessments. Die Auswertung der G-Theorie und der D-Studien bestätigte, dass die Mindestanzahl an Assessments für einen g-Koeffizienten >0,7 in beiden Gruppen erreicht werden kann. Daher scheint die Unterstützung der kompetenzbasierten Weiterbildung durch mobile Apps zur Bewertung von EPAs für große und kleine Anästhesie-Weiterbildungsstätten geeignet.
ORCIDs der Autor*innen
- Tobias Tessmann: [0000-0002-4687-7452]
- Adrian P. Marty: [0000-0003-3452-9730]
- Daniel Stricker: [0000-0002-7722-0293]
- Sören Huwendiek: [0000-0001-6116-9633]
- Jan Breckwoldt: [0000-0003-1716-1970]
Interessenkonflikt
APM ist Mitglied der Weiterbildungskommission der „Swiss Society of Anesthesia and Perioperative Medicine“ (SSAPM) und Mitglied der EPA-Kommission des „Schweizerischen Instituts für ärztliche Weiter- und Fortbildung“ (SIWF). Mit Fördergeldern aus dem „Kompetitiven Lehrkredit“ der Universität Zürich und einer Projektförderung des SIWF wurde 2019 ein erster funktionaler Prototyp von einer externen Softwarefirma entwickelt. Im Herbst 2020 gründete APM eine Firma (precisionED AG), um die App von Grund auf neu zu entwickeln und ein nachhaltiges, qualitativ hochwertiges Assessment-System bereitzustellen. precisionED hält alle Rechte am geistigen Eigentum und garantiert einen zeitgemäßen Schutz der Daten unter Einhaltung der GDPR-Standards. APM ist Chief Visionary Officer und Verwaltungsratspräsident der precisionED AG.
SH ist Mitglied der EPA-Kommission des SIWF. JB ist Mitglied der EPA-Kommission und Co-Vorsitzender des „teach the teacher“ Programms der SIWF.
Literatur
[1] Frank JR, Snell LS, Cate OT, Holmboe ES, Carraccio C, Swing SR, Harris P, Glasgow NJ, Campbell C, Dath D, Harden RM, Iobst W, Long DM, Mungroo R, Richardson DL, Sherbino J, Silver I, Taber S, Talbot M, Harris KA. Competency-based medical education: theory to practice. Med Teach. 2010;32(8):638-645. DOI: 10.3109/0142159X.2010.501190[2] Park YS, Hodges BD, Tekian A. Evaluating the Paradigm Shift from Time-Based Toward Competency-Based Medical Education: Implications for Curriculum and Assessment. In: Wimmers PF, Mentkowski M, editors. Assessing Competence in Professional Performance across Disciplines and Professions. Cham: Springer International Publishing; 2016. p.411-425. DOI: 10.1007/978-3-319-30064-1_19
[3] Jonker G, Hoff RG, Ten Cate OTJ. A case for competency-based anaesthesiology training with entrustable professional activities: an agenda for development and research. Eur J Anaesthesiol. 2015;32(2):71-76. DOI: 10.1097/EJA.0000000000000109
[4] Breckwoldt J, Beckers SK, Breuer G, Marty A. „Entrustable professional activities“: Zukunftsweisendes Konzept für die ärztliche Weiterbildung [Entrustable professional activities: Promising concept in postgraduate medical education]. Anaesthesist. 2018;67(6):452-457. DOI: 10.1007/s00101-018-0420-y
[5] Englander R, Carraccio C. From theory to practice: making entrustable professional activities come to life in the context of milestones. Acad Med. 2014;89(10):1321-1323. DOI: 10.1097/ACM.0000000000000324
[6] Ten Cate O. Entrustability of professional activities and competency-based training. Med Educ. 2005;39(12):1176-1177. DOI: 10.1111/j.1365-2929.2005.02341.x
[7] Weller JM, Misur M, Nicolson S, Morris J, Ure S, Crossley J, Jolly B. Can I leave the theatre? A key to more reliable workplace-based assessment. Br J Anaesth. 2014;112(6):1083-1091. DOI: 10.1093/bja/aeu052
[8] Pinilla S, Lerch S, Lüdi R, Neubauer F, Feller S, Stricker D, Berendonk C, Huwendiek S. Entrustment versus performance scale in high-stakes OSCEs: Rater insights and psychometric properties. Med Teach. 2023;45(8):885-892. DOI: 10.1080/0142159X.2023.2187683
[9] Norcini J, Anderson MB, Bollela V, Burch V, Costa MJ, Duvivier R, Hays R, Palacios Mackay MF, Roberts T, Swanson D. 2018 Consensus framework for good assessment. Med Teach. 2018;40(11):1102-1109. DOI: 10.1080/0142159X.2018.1500016
[10] Schuwirth LW, Van der Vleuten CP. Programmatic assessment: From assessment of learning to assessment for learning. Med Teach. 2011;33(6):478-485. DOI: 10.3109/0142159X.2011.565828
[11] van der Vleuten CP, Schuwirth LW, Driessen EW, Dijkstra J, Tigelaar D, Baartman LK, van Tartwijk J. A model for programmatic assessment fit for purpose. Med Teach. 2012;34(3):205-214. DOI: 10.3109/0142159X.2012.652239
[12] Van Der Vleuten CP, Schuwirth LW, Driessen EW, Govaerts MJ, Heeneman S. Twelve Tips for programmatic assessment. Med Teach. 2015;37(7):641-646. DOI: 10.3109/0142159X.2014.973388
[13] Rich JV, Fostaty Young S, Donnelly C, Hall AK, Dagnone JD, Weersink K, Caudle J, Van Melle E, Klinger DA. Competency-based education calls for programmatic assessment: But what does this look like in practice? J Eval Clin Pract. 2020;26(4):1087-1095. DOI: 10.1111/jep.13328
[14] Heeneman S, de Jong LH, Dawson LJ, Wilkinson TJ, Ryan A, Tait GR, Rice N, Torre D, Freeman A, van der Vleuten CP. Ottawa 2020 consensus statement for programmatic assessment - 1. Agreement on the principles. Med Teach. 2021;43(10):1139-1148. DOI: 10.1080/0142159X.2021.1957088
[15] Marty AP, Linsenmeyer M, George B, Young JQ, Breckwoldt J, ten Cate O. Mobile technologies to support workplace-based assessment for entrustment decisions: Guidelines for programs and educators: AMEE Guide No. 154. Med Teach. 2023;45(11):1203-1213. DOI: 10.1080/0142159X.2023.2168527
[16] Young JQ, Sugarman R, Schwartz J, McClure M, O’Sullivan PS. A mobile app to capture EPA assessment data: Utilizing the consolidated framework for implementation research to identify enablers and barriers to engagement. Perspect Med Educ. 2020;9(4):210-219. DOI: 10.1007/s40037-020-00587-z
[17] Young JQ, McClure M. Fast, Easy, and Good: Assessing Entrustable Professional Activities in Psychiatry Residents With a Mobile App. Acad Med. 2020;95(10):1546-1549. DOI: 10.1097/ACM.0000000000003390
[18] George BC, Bohnen JD, Schuller MC, Fryer JP. Using smartphones for trainee performance assessment: A SIMPL case study. Surgery. 2020;167(6):903-906. DOI: 10.1016/j.surg.2019.09.011
[19] Lefroy J, Roberts N, Molyneux A, Bartlett M, Gay S, McKinley R. Utility of an app-based system to improve feedback following workplace-based assessment. Int J Med Educ. 2017;8:207-216. DOI: 10.5116/ijme.5910.dc69
[20] Findyartini A, Raharjanti NW, Greviana N, Prajogi GB, Setyorini D. Development of an app-based e-portfolio in postgraduate medical education using Entrustable Professional Activities (EPA) framework: Challenges in a resource-limited setting. TAPS. 2021;6(4):92-106. DOI: 10.29060/TAPS.2021-6-4/OA2459
[21] Duggan N, Curran VR, Fairbridge NA, Deacon D, Coombs H, Stringer K, Pennell S. Using mobile technology in assessment of entrustable professional activities in undergraduate medical education. Perspect Med Educ. 2021;10(6):373-377. DOI: 10.1007/s40037-020-00618-9
[22] Diwersi N, Gass JM, Fischer H, Metzger J, Knobe M, Marty AP. Surgery goes EPA (Entrustable Professional Activity) - how a strikingly easy to use app revolutionizes assessments of clinical skills in surgical training. BMC Med Educ. 2022;22(1):559. DOI: 10.1186/s12909-022-03622-1
[23] Marty AP, Braun J, Schick C, Zalunardo MP, Spahn DR, Breckwoldt J. A mobile application to facilitate implementation of programmatic assessment in anaesthesia training. Br J Anaesth. 2022;128(6):990-996. DOI: 10.1016/j.bja.2022.02.038
[24] Crossley J, Johnson G, Booth J, Wade W. Good questions, good answers: construct alignment improves the performance of workplace-based assessment scales. Med Educ. 2011;45(6):560-569. DOI: 10.1111/j.1365-2923.2010.03913.x
[25] Crossley J, Jolly B. Making sense of work-based assessment: ask the right questions, in the right way, about the right things, of the right people. Med Educ. 2012;46(1):28-37. DOI: 10.1111/j.1365-2923.2011.04166.x
[26] Peeters MJ, Cor MK. Guidance for high-stakes testing within pharmacy educational assessment. Curr Pharm Teach Learn. 2020;12(1):1-4. DOI: 10.1016/j.cptl.2019.10.001
[27] Bloch R, Norman G. Generalizability theory for the perplexed: a practical introduction and guide: AMEE Guide No. 68. Med Teach. 2012;34(11):960-992. DOI: 10.3109/0142159X.2012.703791
[28] Pangaro L, ten Cate O. Frameworks for learner assessment in medicine: AMEE Guide No. 78. Med Teach. 2013;35(6):e1197-e1210. DOI: 10.3109/0142159X.2013.788789
[29] Andersen SA, Nayahangan LJ, Park YS, Konge L. Use of Generalizability Theory for Exploring Reliability of and Sources of Variance in Assessment of Technical Skills: A Systematic Review and Meta-Analysis. Acad Med. 2021;96(11):1609-1619. DOI: 10.1097/ACM.0000000000004150
[30] Kreiter C, Zaidi N. Generalizability Theory’s Role in Validity Research: Innovative Applications in Health Science Education. Health Prof Educ. 2020;6(2):282-290. DOI: 10.1016/j.hpe.2020.02.002
[31] Dunne D, Gielissen K, Slade M, Park YS, Green M. WBAs in UME-How Many Are Needed? A Reliability Analysis of 5 AAMC Core EPAs Implemented in the Internal Medicine Clerkship. J Gen Intern Med. 2022;37(11):2684-2690. DOI: 10.1007/s11606-021-07151-3
[32] Kelleher M, Kinnear B, Sall D, Schumacher D, Schauer DP, Warm EJ, Kelcey B. A Reliability Analysis of Entrustment-Derived Workplace-Based Assessments. Acad Med. 2020;95(4):616-622. DOI: 10.1097/ACM.0000000000002997
[33] Alves de Lima A, Conde D, Costabel J, Corso J, Van der Vleuten C. A laboratory study on the reliability estimations of the mini-CEX. Adv Health Sci Educ Theory Pract. 2013;18(1):5-13. DOI: 10.1007/s10459-011-9343-y
[34] Sullivan GM. A Primer on the Validity of Assessment Instruments. J Grad Med Educ. 2011;3(2):119-120. DOI: 10.4300/JGME-D-11-00075.1
[35] Rourke J. WHO Recommendations to improve retention of rural and remote health workers - important for all countries. Rural Remote Health. 2010;10(4):1654. DOI: 10.22605/RRH1654
[36] Somporn P, Ash J, Walters L. Stakeholder views of rural community-based medical education: a narrative review of the international literature. Med Educ. 2018;52(8):791-802. DOI: 10.1111/medu.13580
[37] Health Education England. Training in Smaller Places. London: Health Education England; 2016.
[38] Genn JM. AMEE Medical Education Guide No. 23 (Part 2): Curriculum, environment, climate, quality and change in medical education - a unifying perspective. Med Teach. 2001;23(5):445-454. DOI: 10.1080/01421590120075661
[39] Boonluksiri P, Thongmak T, Warachit B. Comparison of educational environments in different sized rural hospitals during a longitudinal integrated clerkship in Thailand. Rural Remote Health. 2021;21(4):6883. DOI: 10.22605/RRH6883
[40] Carmody DF, Jacques A, Denz-Penhey H, Puddey I, Newnham JP. Perceptions by medical students of their educational environment for obstetrics and gynaecology in metropolitan and rural teaching sites. Med Teach. 2009;31(12):e596-602. DOI: 10.3109/01421590903193596
[41] Parry J, Mathers J, Al-Fares A, Mohammad M, Nandakumar M, Tsivos D. Hostile teaching hospitals and friendly district general hospitals: final year students’ views on clinical attachment locations. Med Educ. 2002;36(12):1131-1141. DOI: 10.1046/j.1365-2923.2002.01374.x
[42] Worley P, Esterman A, Prideaux D. Cohort study of examination performance of undergraduate medical students learning in community settings. BMJ. 2004;328(7433):207-209. DOI: 10.1136/bmj.328.7433.207
[43] Lyon PM, McLean R, Hyde S, Hendry G. Students’ perceptions of clinical attachments across rural and metropolitan settings. Ass Eval High Educ. 2008;33(1):63-73. DOI: 10.1080/02602930601122852
[44] Kumar N, Brooke A. Should we teach and train in smaller hospitals? Future Healthc J. 2020;7(1):8-11. DOI: 10.7861/fhj.2019-0056
[45] Bernabeo EC, Holtman MC, Ginsburg S, Rosenbaum JR, Holmboe ES. Lost in Transition: The Experience and Impact of Frequent Changes in the Inpatient Learning Environment. Acad Med. 2011;86(5):591-598. DOI: 10.1097/ACM.0b013e318212c2c9
[46] Bonnie LHA, Cremers GR, Nasori M, Kramer AWM, van Dijk N. Longitudinal training models for entrusting students with independent patient care?: A systematic review. Med Educ. 2022;56(2):159-169. DOI: 10.1111/medu.14607
[47] Simpson M, Tuck N, Bellamy S. Small business success factors: the role of education and training. Educ Train. 2004;46(8/9):481-491. DOI: 10.1108/00400910410569605
[48] Anselmann S. Learning barriers at the workplace: Development and validation of a measurement instrument. Front Educ. 2022;7:880778. DOI: 10.3389/feduc.2022.880778
[49] Ashton D, Sung J, Raddon A, Riordan T. Challenging the myths about learning and training in small and medium- sized enterprises: Implications for public policy. Employment Working Paper No. 1. Geneve: International Labour Organization; 2008. p.1:65.
[50] Panagiotakopoulos A. Barriers to employee training and learning in small and medium‐sized enterprises (SMEs). Develop Learnn Organ. 2011;25(3):15-18. DOI: 10.1108/14777281111125354
[51] Jones P, Beynon MJ, Pickernell D, Packham G. Evaluating the Impact of Different Training Methods on SME Business Performance. Environ Plann C Gov Policy. 2013;31(1):56-81. DOI: 10.1068/c12113b
[52] Attwell G, Deitmer L. Developing work based personal learning environments in small and medium enterprises. PLE Conference Proceedings. 2012;1(1). Zugänglich unter/available from: https://proa.ua.pt/index.php/ple/article/view/16473
[53] Kock H, Ellström P. Formal and integrated strategies for competence development in SMEs. J Eur Industr Train. 2011;35(1):71-88. DOI: 10.1108/03090591111095745
[54] Kravčík M, Neulinger K, Klamma R. Boosting Vocational Education and Training in Small Enterprises. In: Verbert K, Sharples M, Klobučar T, editors. Adaptive and Adaptable Learning. Cham: Springer International Publishing; 2016. p.600-604. DOI: 10.1007/978-3-319-45153-4_72
[55] Dawe S, Nguyen N. Education and Training that Meets the Needs of Small Business: A Systematic Review of Research. National Centre for Vocational Education Research Ltd; 2007. Zugänglich unter/available from: https://eric.ed.gov/?id=ED499699
[56] Marty AP, Schmelzer S, Thomasin RA, Braun J, Zalunardo MP, Spahn DR, Breckwoldt J. Agreement between trainees and supervisors on first-year entrustable professional activities for anaesthesia training. Br J Anaesth. 2020;125(1):98-103. DOI: 10.1016/j.bja.2020.04.009
[57] ten Cate O. Nuts and Bolts of Entrustable Professional Activities. J Grad Med Educ. 2013;5(1):157-158. DOI: 10.4300/JGME-D-12-00380.1
[58] ten Cate O, Schwartz A, Chen HC. Assessing Trainees and Making Entrustment Decisions: On the Nature and Use of Entrustment-Supervision Scales. Acad Med. 2020;95(11):1662-1669. DOI: 10.1097/ACM.0000000000003427
[59] ten Cate O, Chen HC, Hoff RG, Peters H, Bok H, van der Schaaf M. Curriculum development for the workplace using Entrustable Professional Activities (EPAs): AMEE Guide No. 99. Med Teach. 2015;37(11):983-1002. DOI: 10.3109/0142159X.2015.1060308
[60] Brennan R, Norman G. G_String, A Windows wrapper for urGENOVA©. Hamilton: McMaster Education Research, Innovation & Theory (MERIT); 2017. Zugänglich unter/available from: http://fhsperd. mcmaster.ca/g_string/index.html
[61] Hartmann K. Assistentenstellen 2021 pro Fachgebiet, alle Weiterbildungsstätten. 6. Oktober 2021
[62] Woodworth GE, Marty AP, Tanaka PP, Ambardekar AP, Chen F, Duncan MJ, Fromer IR, Hallman MR, Klesius LL, Ladlie BL, Mitchel SA, Miller Juve AK, McGrath BJ, Shepler JA, Sims 3rd C, Spofford CM, Van Cleve W, Maniker RB. Development and Pilot Testing of Entrustable Professional Activities for US Anesthesiology Residency Training. Anesth Analg. 2021;132(6):1579-1591. DOI: 10.1213/ANE.0000000000005434
[63] Telio S, Ajjawi R, Regehr G. The “Educational Alliance” as a Framework for Reconceptualizing Feedback in Medical Education. Acad Med. 2015;90(5):609-614. DOI: 10.1097/ACM.0000000000000560
[64] Brenner M, Weiss-Breckwoldt AN, Condrau F, Breckwoldt J. Does the ‘Educational Alliance’ conceptualize the student - supervisor relationship when conducting a master thesis in medicine? An interview study. BMC Med Educ. 2023;23(1):611. DOI: 10.1186/s12909-023-04593-7
[65] Hauer KE, Ten Cate O, Boscardin C, Irby DM, Iobst W, O’Sullivan PS. Understanding trust as an essential element of trainee supervision and learning in the workplace. Adv Health Sci Educ Theory Pract. 2014;19(3):435-456. DOI: 10.1007/s10459-013-9474-4
[66] Castanelli DJ, Weller JM, Molloy E, Bearman M. Trust, power and learning in workplace-based assessment: The trainee perspective. Med Educ. 2022;56(3):280-291. DOI: 10.1111/medu.14631
[67] Gille F. About the Essence of Trust: Tell the Truth and Let Me Choose—I Might Trust You. Int J Public Health. 2022;67:1604592. DOI: 10.3389/ijph.2022.1604592
[68] American Educational Research Association, editor. Standards for Educational & Psychological Testing. Washington, D.C: American Educational Research Association; 2014. p.60.



